Pēdējā atjaunošana :
27/04/2026
Dažādi   Quetiapine fumarate  
Orāls šķīdums
Stabilitāte farmaceitisko preparātu Maisījuma stabilitāte Stabilitāti ietekmējoši faktori Saderība Literatūras saraksts pdf
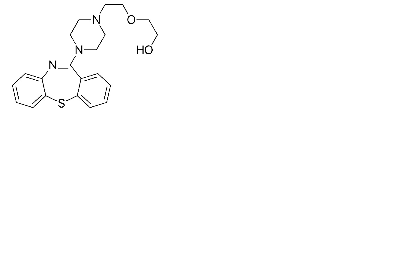
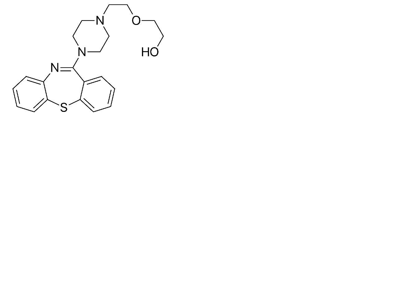
   Ķīmiskā uzbūve   

Orāls šķīdums
Saderība   Orāls šķīdums   Saderība : Quetiapine fumarate              
Nav datu

  Mentions Légales