Ultimele actualizari :
27/04/2026
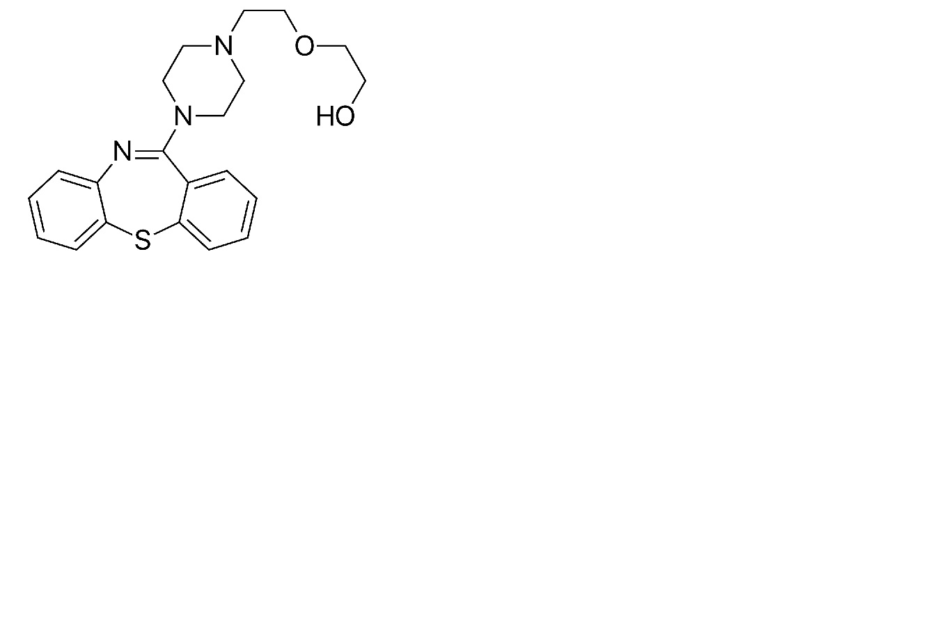
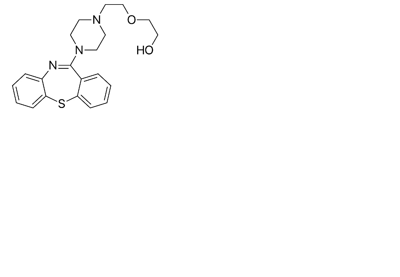
Diverse   Quetiapine fumarate  
Soluţie orală
Stabilitatea preparatelor farmaceutice Stabilitatea in amestec Factorii care influenteaza stabilitatea Compatibilitate Bibliografie pdf
   Formula chimica  

Soluţie orală
Compatibilitate   Soluţie orală   Compatibilitate : Quetiapine fumarate              
Absenta de date

  Mentions Légales