zadnja posodobitev :
27/04/2026
Različen   Quetiapine fumarate  
Peroralna raztopina
Stabilnost farmacevtskih preparatov Stabilnost mešanice Faktorji, ki vplivajo na stabilnost Kompatibilnost Viri pdf
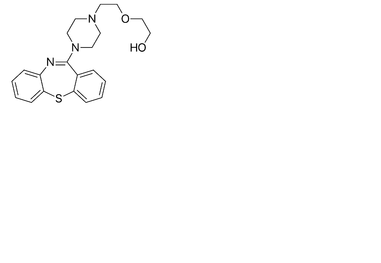
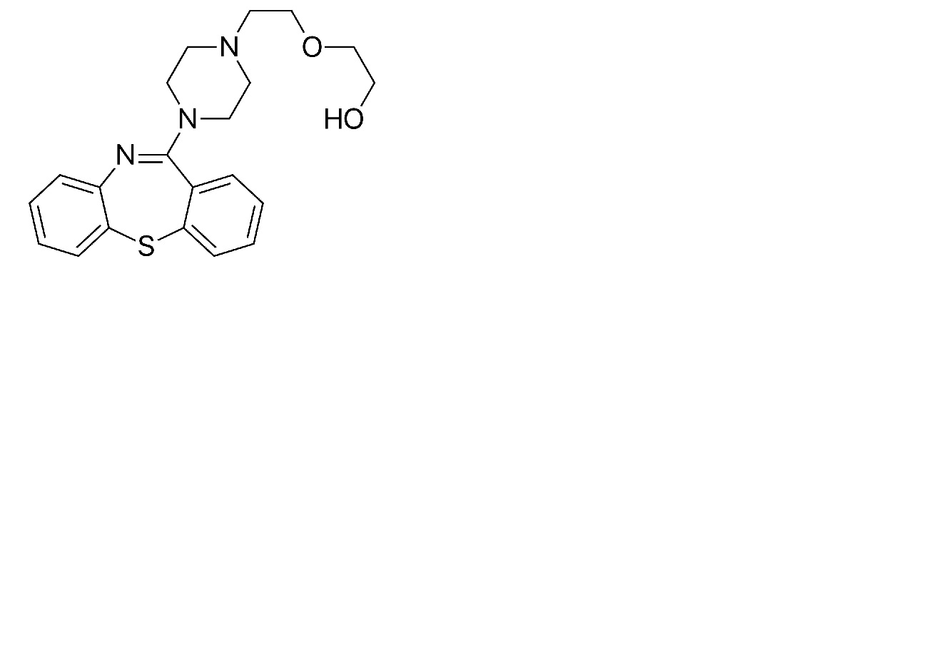
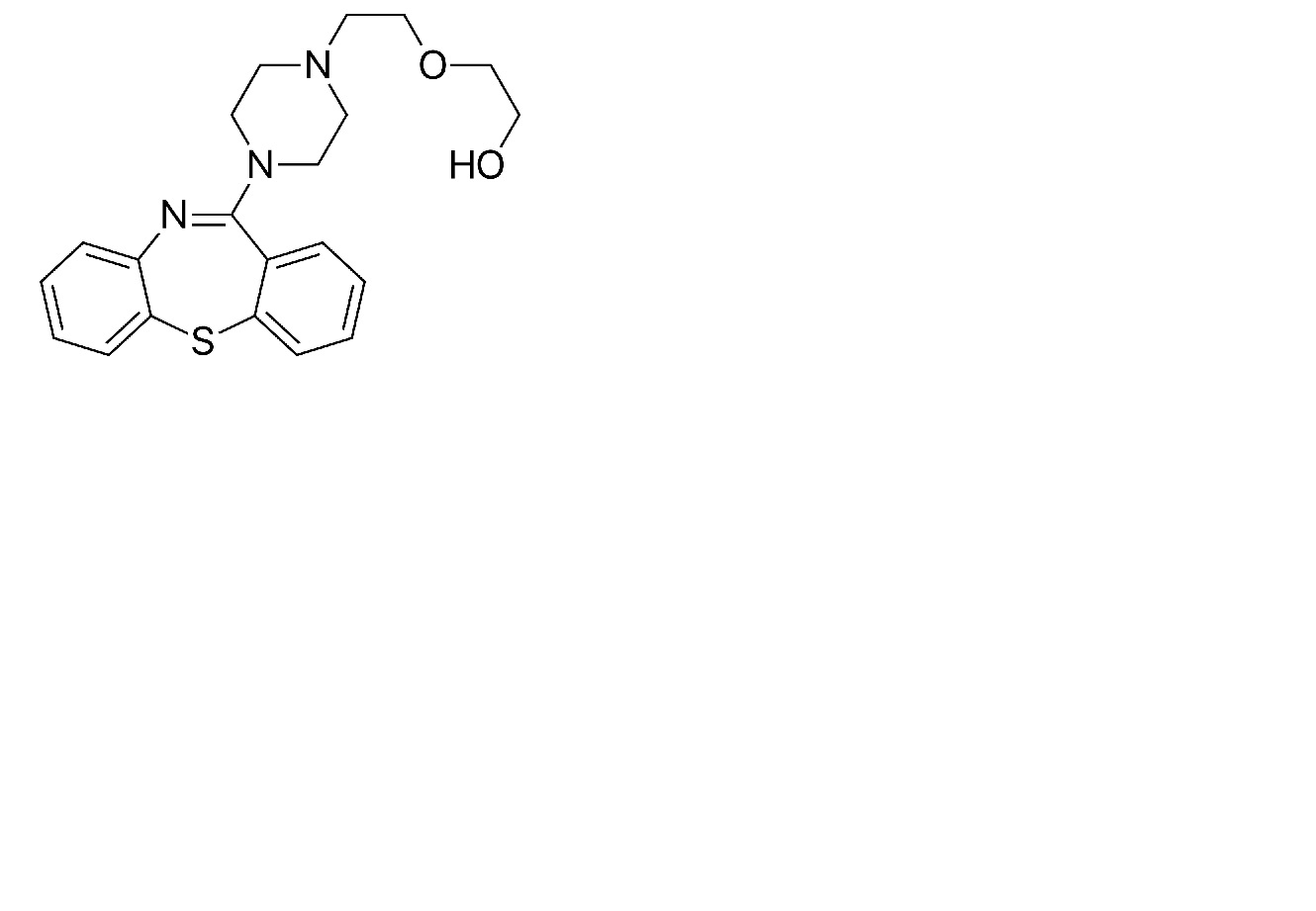
   Kemična formula  

Peroralna raztopina
Kompatibilnost   Peroralna raztopina   Kompatibilnost : Quetiapine fumarate              
ni podatka

  Mentions Légales