Utolsó frissítés :
27/04/2026
Különféle   Quetiapine fumarate  
belsőleges oldat
Stabilitása gyógyszerészeti készítmények A keverékek stabilitása Stabilitást befolyásoló tényezők Kompatibilitás Irodalom pdf
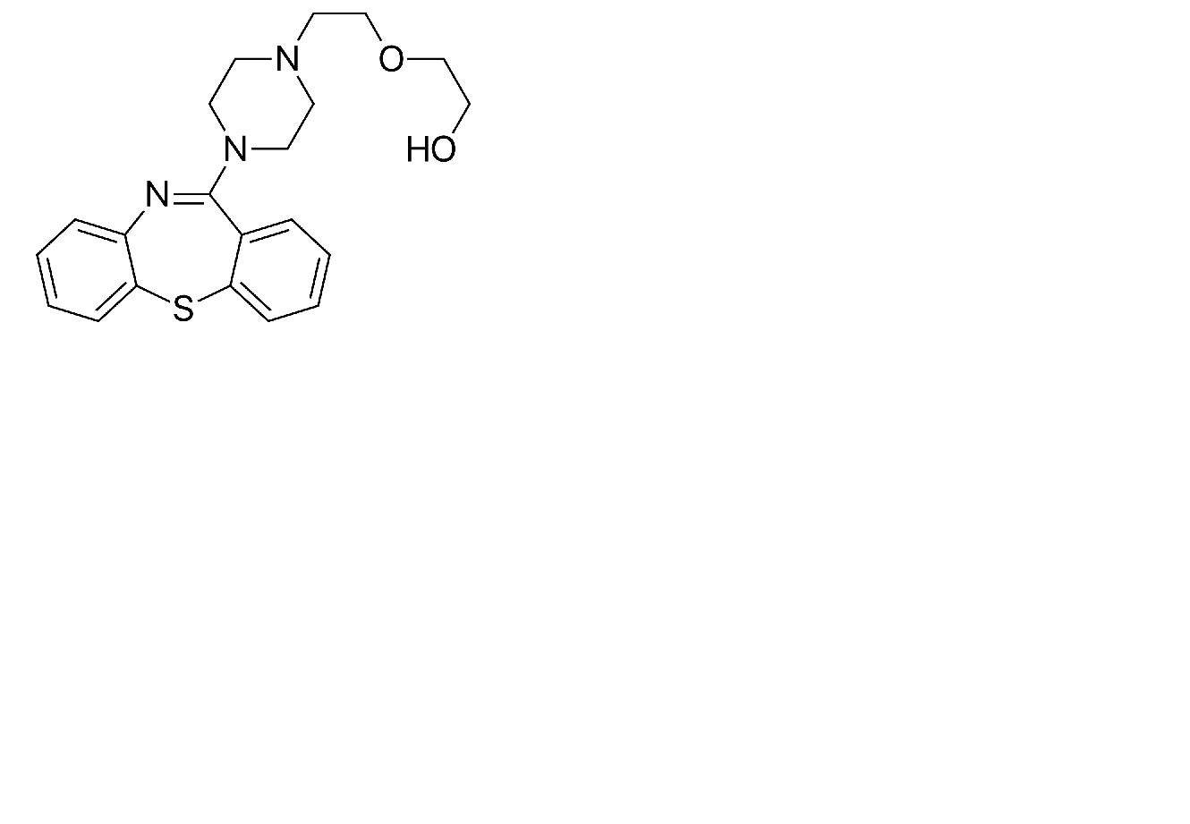
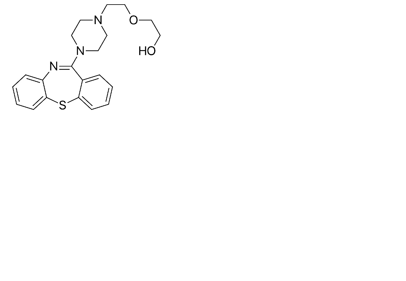
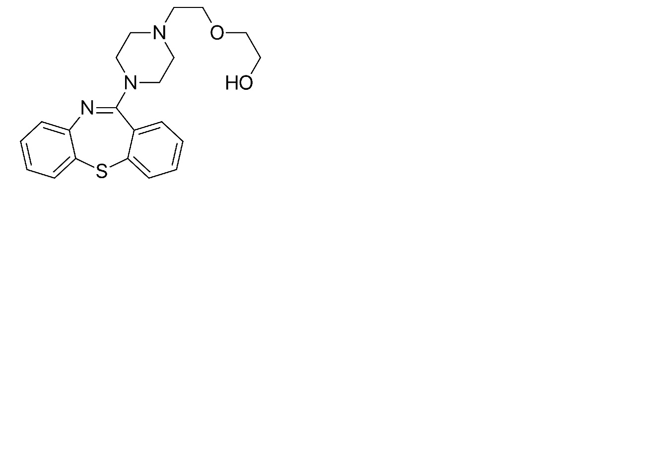
   Kémiai szerkezet   

belsőleges oldat
Kompatibilitás   belsőleges oldat   Kompatibilitás : Quetiapine fumarate              
Hiányzó adat

  Mentions Légales