Zadnji put ažurirano :
27/04/2026
razno   Quetiapine fumarate  
oralna otopina
Stabilnost farmaceutskih pripravaka Stabilnost mješavine Stabilizacijski faktor Kompatibilnosti Bibliografija pdf
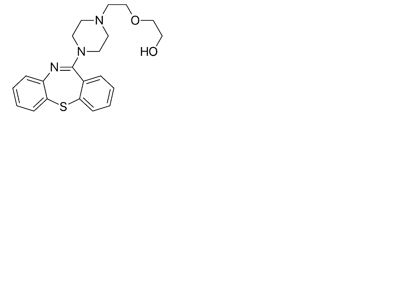
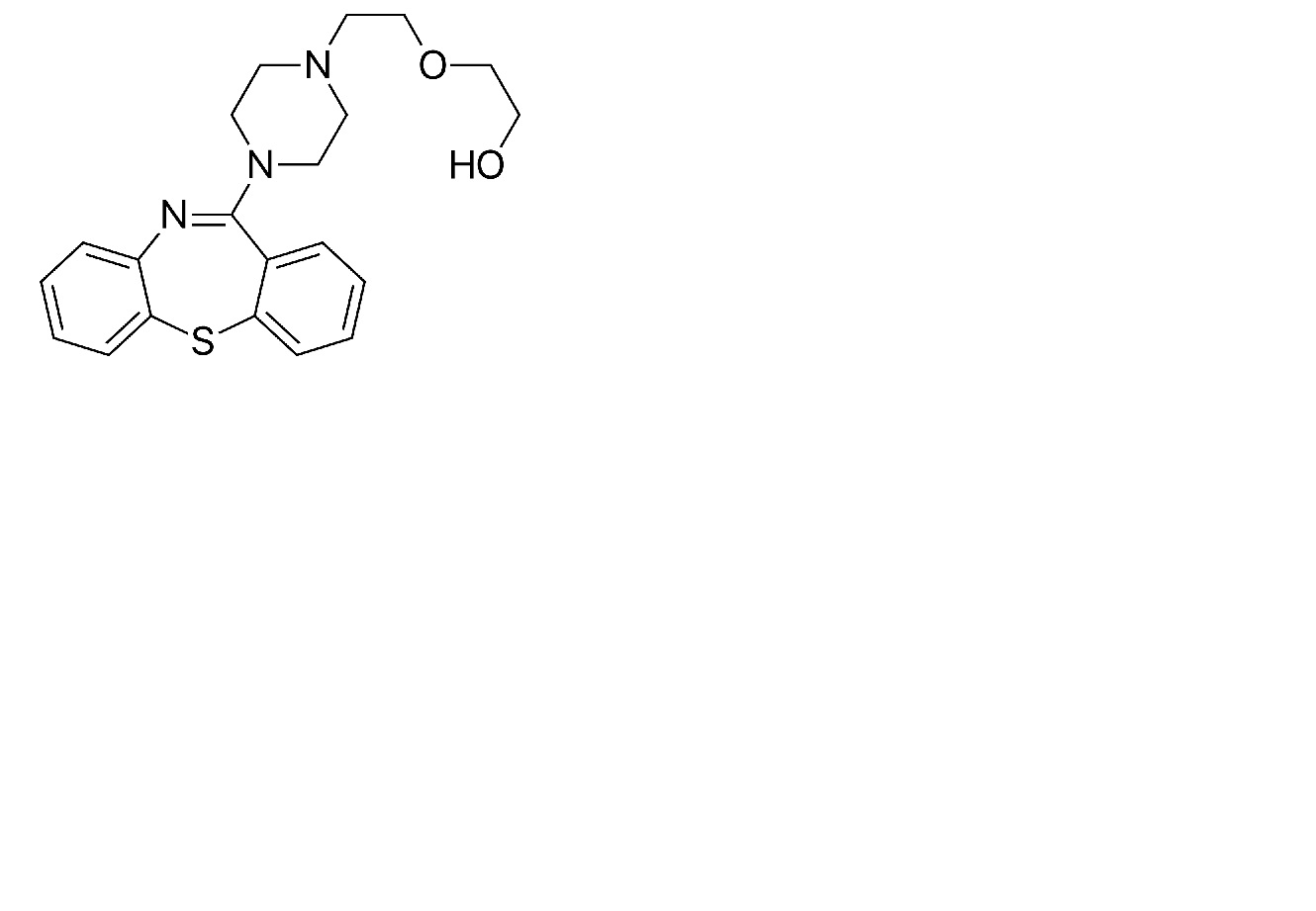
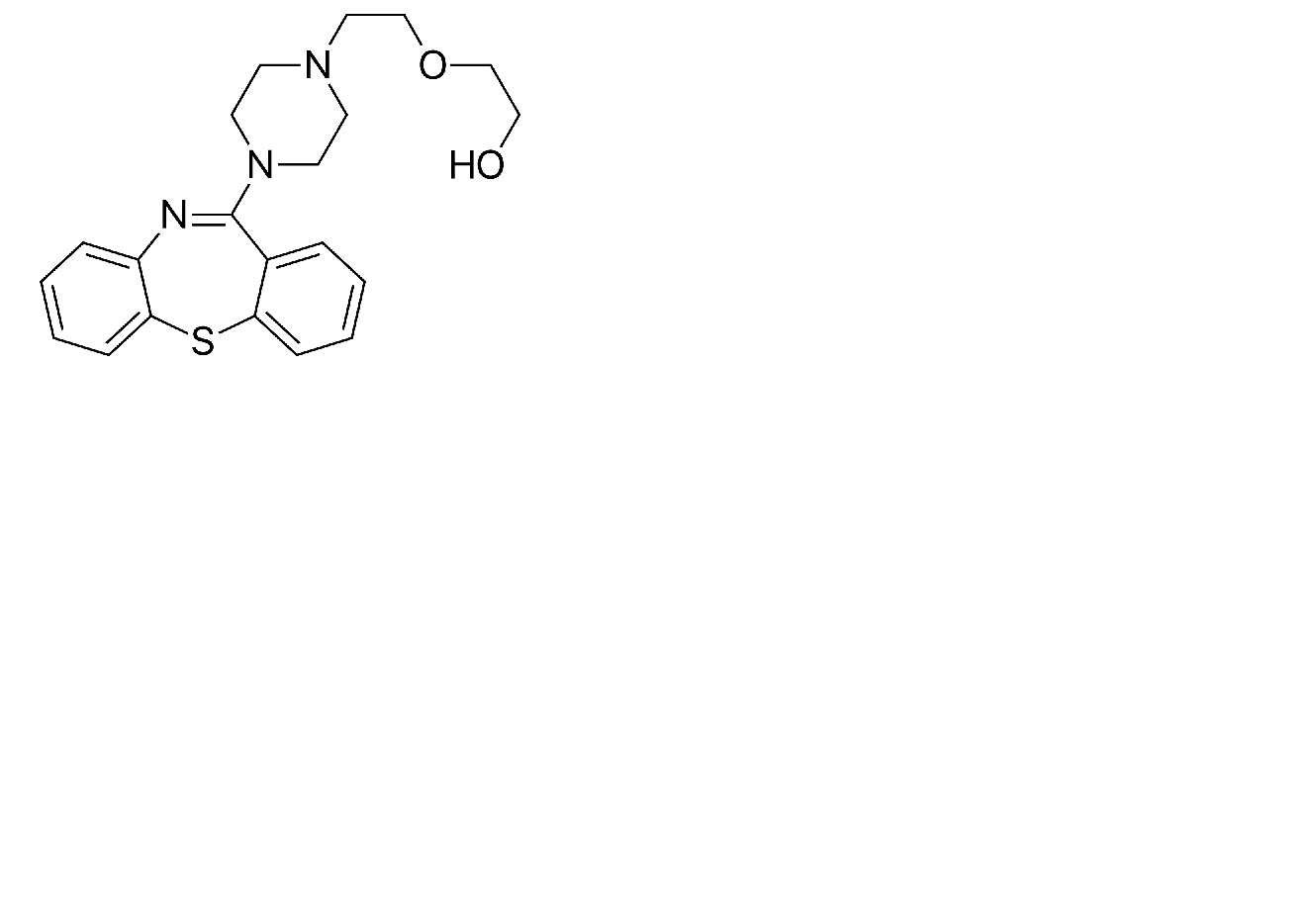
   Kemijska struktura  

oralna otopina
Kompatibilnosti   oralna otopina     Kompatibilnosti : Quetiapine fumarate              
bez podataka

  Mentions Légales