最新更新 :
27/04/2026
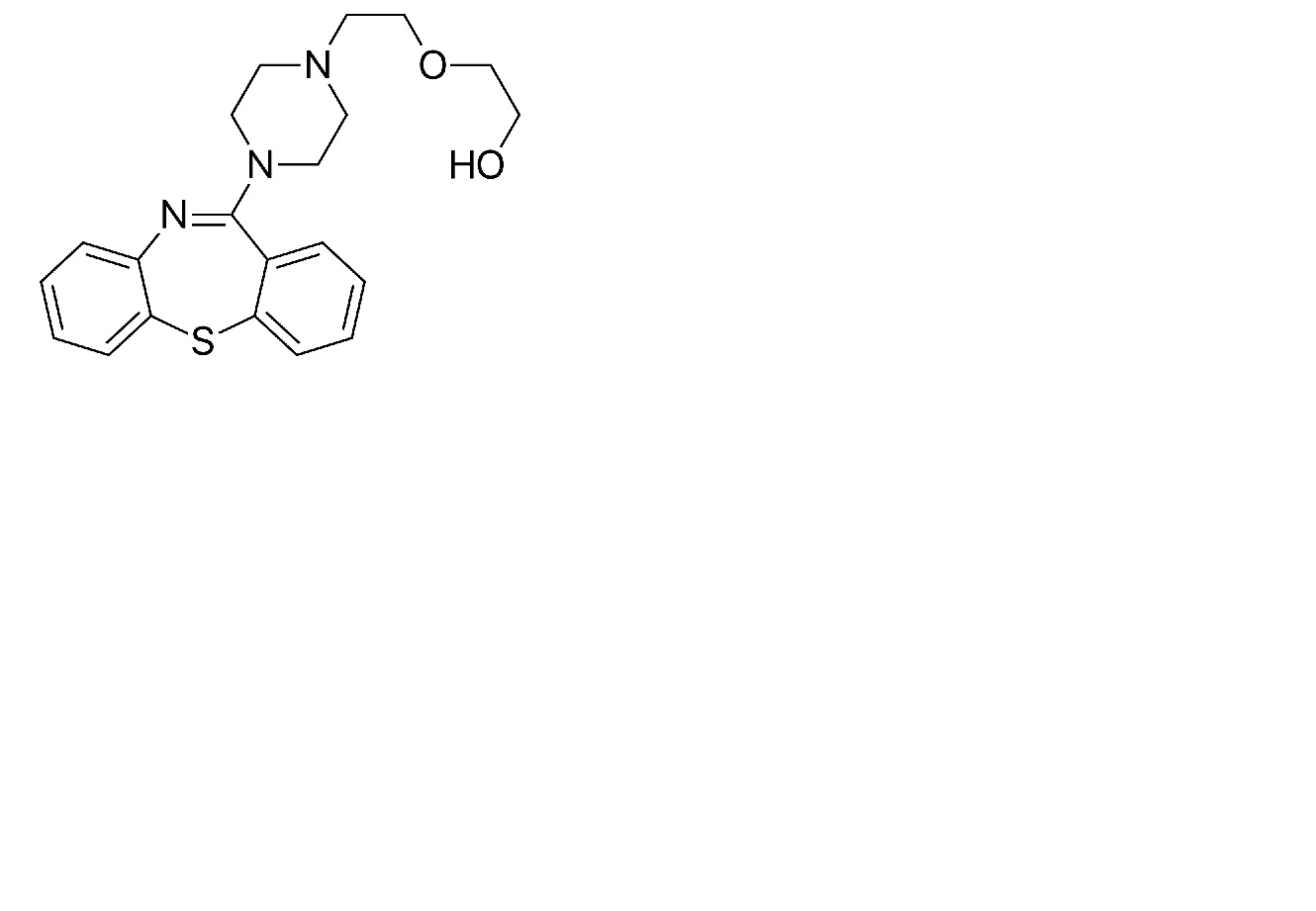
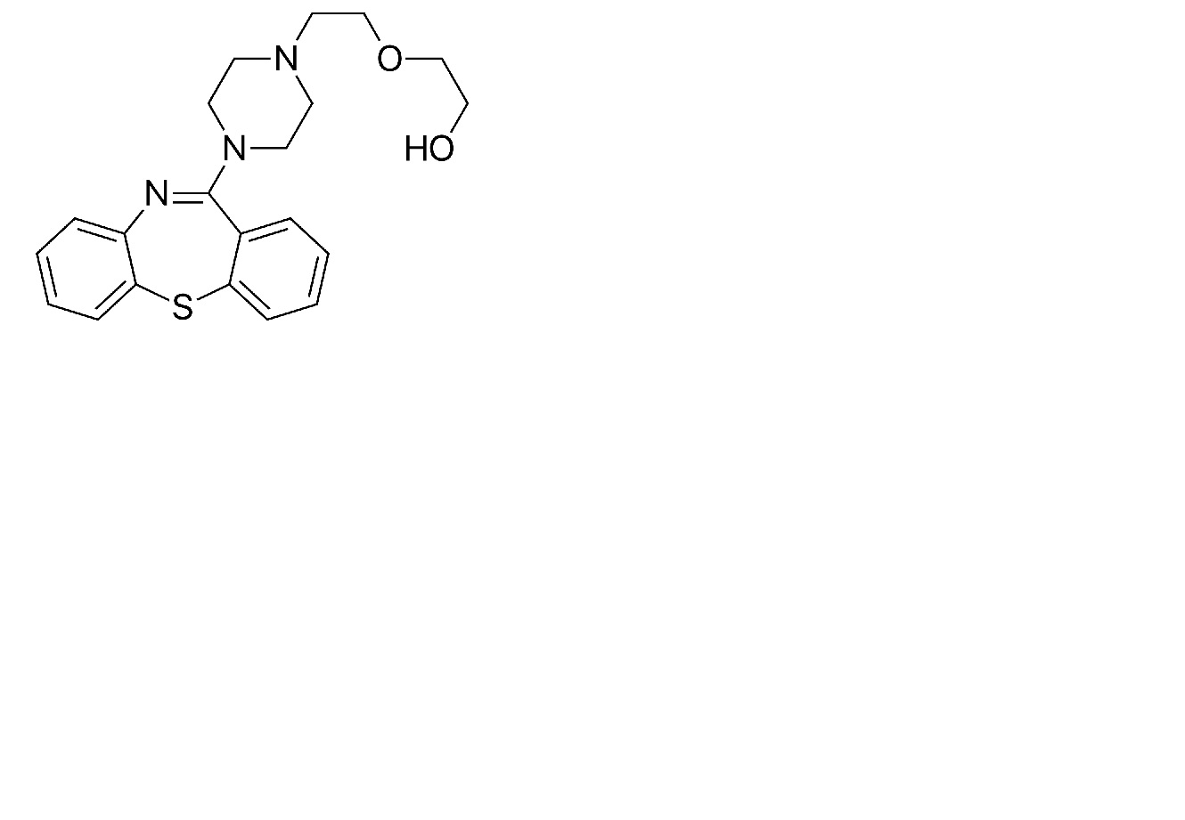
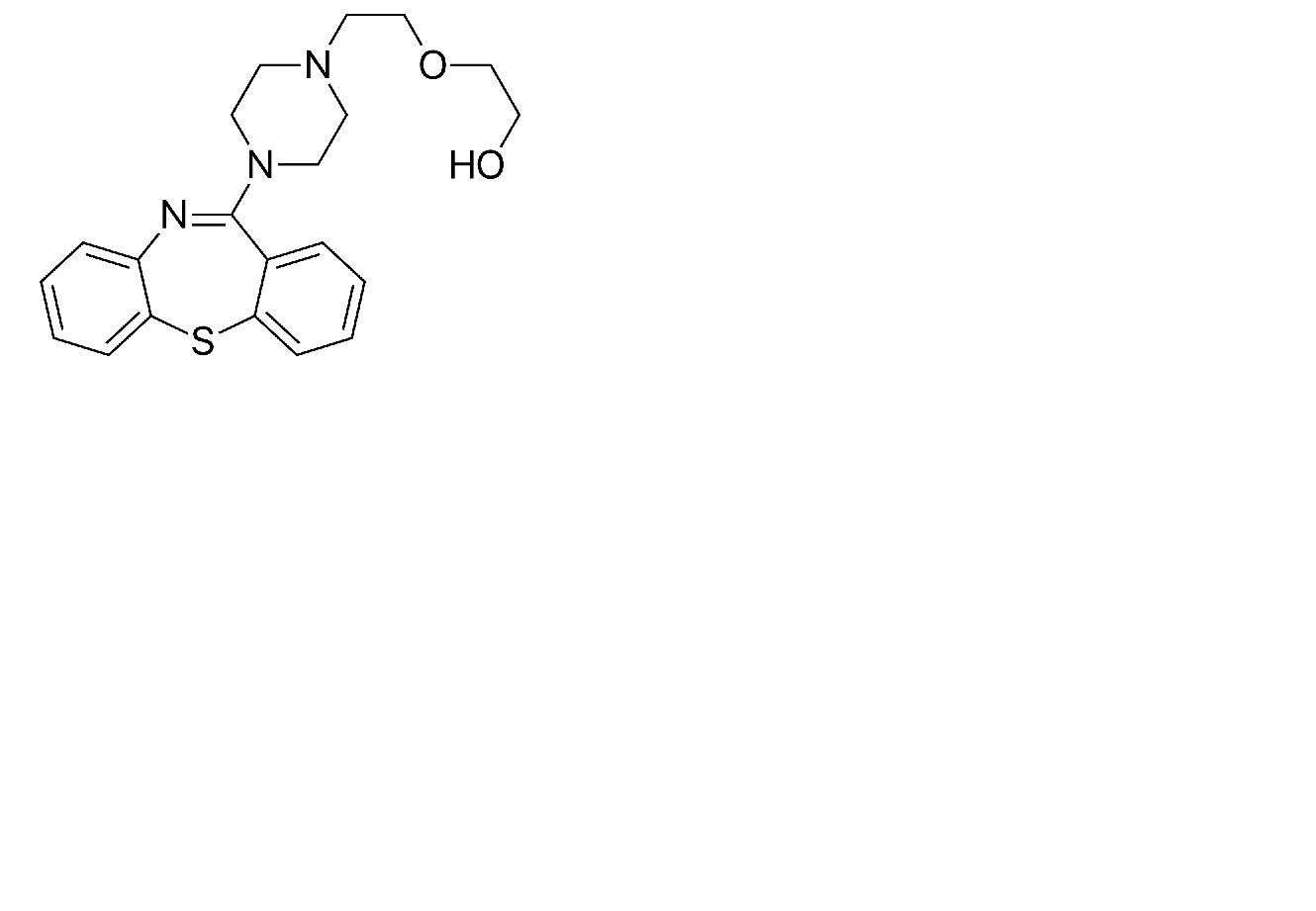
其它   Quetiapine fumarate  
口服剂
制剂的稳定性 混合物稳定性 影响稳定性的因素 兼容性 引用文献 PDF
   化学式  

口服剂
兼容性   口服剂   兼容性 : Quetiapine fumarate              
无数据

  Mentions Légales