viimane versioon :
27/04/2026
mitmesugune   Quetiapine fumarate  
suukaudne lahus
Stabiilsust ravimpreparaadid Stabiilsust mõjutavad tegurid stabiilsust mõjutavad faktorid Sobimatus Viited pdf
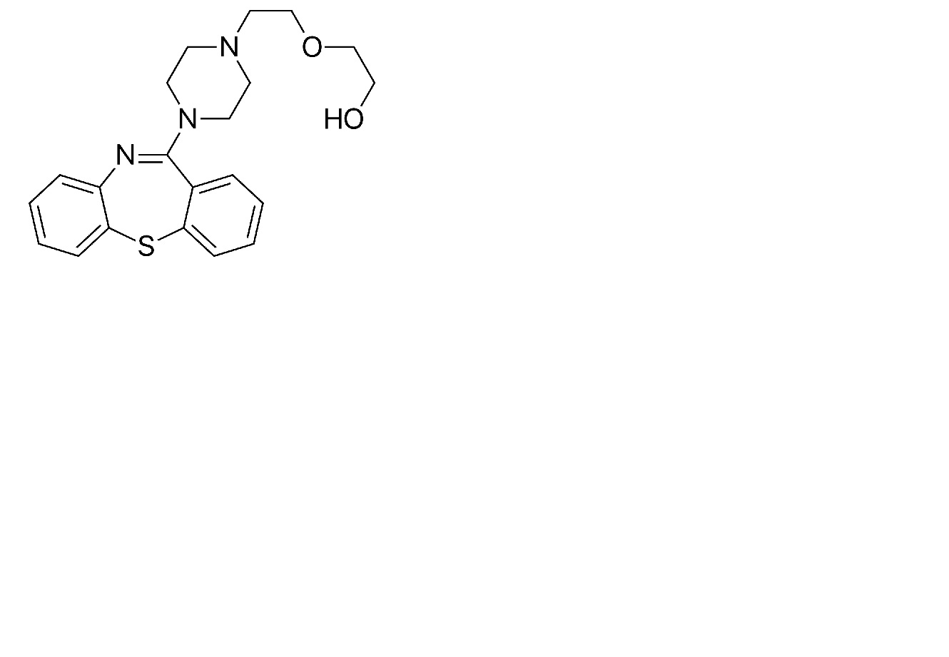
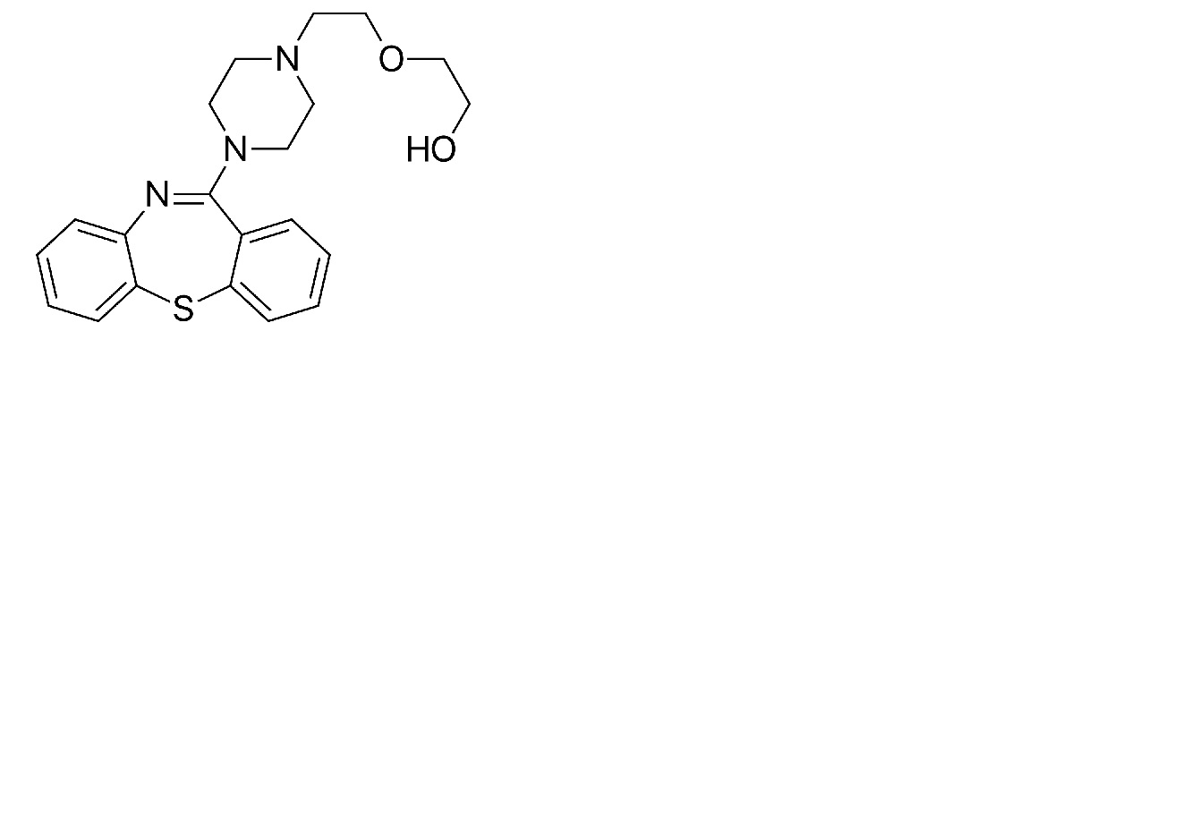
   keemiline struktuur  

suukaudne lahus
Sobimatus   suukaudne lahus   Sobimatus : Quetiapine fumarate              
andmed puuduvad

  Mentions Légales