Cập nhật lần cuối :
27/01/2026
thuốc trị ung thư   Pemetrexed diarginine  
Dạng tiêm
Tính ổn định của các dung dịch Độ ổn định khi trộn lẫn Những yếu tố ảnh hưởng đến độ ổn định Khả năng tương thích Đường dùng Tài liệu tham khảo Pdf
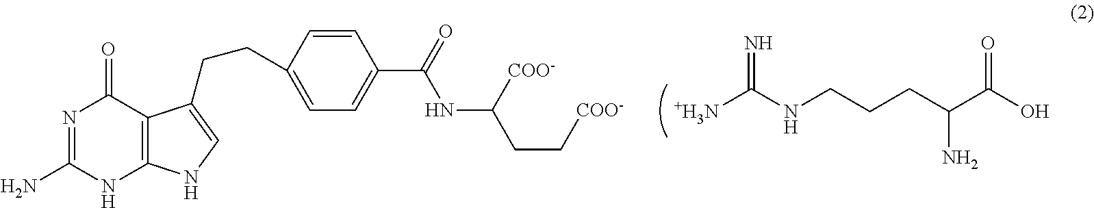
   Cấu trúc hóa học  

Tên thương mại   Tên thương mại     

Các tên thương mại được cung cấp và thành phần tá dược có thể khác nhau giữa các quốc gia và các hãng dược

Pemetrexed Mylan Pháp
Pemetrexed Ohre Pharma Pháp
Pemetrexed Zentiva Pháp
Tính ổn định của các dung dịch   Dạng tiêm   Tính ổn định của các dung dịch : Pemetrexed diarginine     
Bao bì Dung môi Nồng độ Nhiệt độ Bảo quản Thời gian ổn định Mục lục
Thủy tinh Không 25 mg/ml 2-8°C Tránh ánh sáng
14 Ngày
4546
Cấp độ bằng chứng A

Thủy tinh Không 25 mg/ml 2-8°C Có hoặc không có tiếp xúc với ánh sáng
7 Ngày
4702
Cấp độ bằng chứng A+

Thủy tinh Không 25 mg/ml 22-25°C Ánh sáng
1 Ngày
4546
Cấp độ bằng chứng A

lọ đã qua sử dụng Không 25 mg/ml 2-8°C Tránh ánh sáng
7 Ngày
4702
Cấp độ bằng chứng A+

lọ đã qua sử dụng Không 25 mg/ml 25°C Ánh sáng
4 Ngày
4702
Cấp độ bằng chứng A+

Nhựa polyolefin NaCl 0,9% 12 mg/ml 2-8°C Tránh ánh sáng
4 Ngày
4546
Cấp độ bằng chứng A

Nhựa polyolefin NaCl 0,9% 12 mg/ml 22-25°C Ánh sáng
1 Ngày
4546
Cấp độ bằng chứng A

Nhựa polyolefin NaCl 0,9% 3 & 12 mg/ml 2-8°C Có hoặc không có tiếp xúc với ánh sáng
28 Ngày
4702
Cấp độ bằng chứng A+

Nhựa polyolefin NaCl 0,9% 3 & 12 mg/ml 20-25°C Có hoặc không có tiếp xúc với ánh sáng
7 Ngày
4702
Cấp độ bằng chứng A+

Nhựa polyolefin NaCl 0,9% 4,9 mg/ml 2-8°C Tránh ánh sáng
4 Ngày
4546
Cấp độ bằng chứng A

Nhựa polyolefin NaCl 0,9% 4,9 mg/ml 22-25°C Ánh sáng
1 Ngày
4546
Cấp độ bằng chứng A

Nhựa polyolefin Glucose 5% 12 mg/ml 2-8°C Tránh ánh sáng
4 Ngày
4546
Cấp độ bằng chứng A

Nhựa polyolefin Glucose 5% 12 mg/ml 22-25°C Ánh sáng
1 Ngày
4546
Cấp độ bằng chứng A

Nhựa polyolefin Glucose 5% 3 & 12 mg/ml 2-8°C Có hoặc không có tiếp xúc với ánh sáng
28 Ngày
4702
Cấp độ bằng chứng A+

Nhựa polyolefin Glucose 5% 3 & 12 mg/ml 20-25°C Có hoặc không có tiếp xúc với ánh sáng
7 Ngày
4702
Cấp độ bằng chứng A+

Nhựa polyolefin Glucose 5% 4,9 mg/ml 2-8°C Tránh ánh sáng
4 Ngày
4546
Cấp độ bằng chứng A

Nhựa polyolefin Glucose 5% 4,9 mg/ml 22-25°C Ánh sáng
1 Ngày
4546
Cấp độ bằng chứng A


  Mentions Légales