最新更新 :
18/03/2026
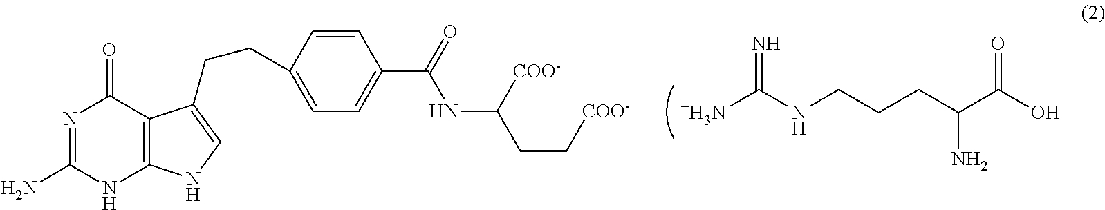
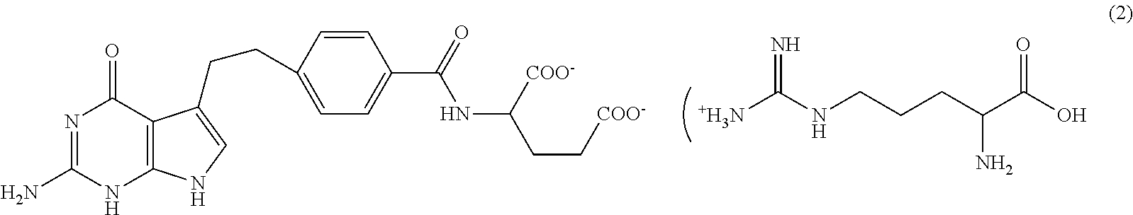
抗癌藥物   Pemetrexed diarginine  
注射液
溶液稳定性 混合物稳定性 影响稳定性的因素 兼容性 用药途径 引用文献 PDF
   化学式  

商品名   商品名     

商品名仅供参考, 药品所用的辅料可能依国家或厂商不同有所不同。

Pemetrexed Mylan 法国
Pemetrexed Ohre Pharma 法国
Pemetrexed Zentiva 法国
溶液稳定性   注射液   溶液稳定性 : Pemetrexed diarginine     
容器 溶剂 浓度 温度 保存 穩定持續時間 引用文献
玻璃 无 25 mg/ml 2-8°C 避光
14 白天
4546
A级

玻璃 无 25 mg/ml 2-8°C 光/避光
7 白天
4702
A+级

玻璃 无 25 mg/ml 22-25°C 光
1 白天
4546
A级

部分使用過的瓶子 无 25 mg/ml 2-8°C 避光
7 白天
4702
A+级

部分使用過的瓶子 无 25 mg/ml 25°C 光
4 白天
4702
A+级

聚烯烃 NaCl 0,9% 12 mg/ml 2-8°C 避光
4 白天
4546
A级

聚烯烃 NaCl 0,9% 12 mg/ml 22-25°C 光
1 白天
4546
A级

聚烯烃 NaCl 0,9% 3 & 12 mg/ml 2-8°C 光/避光
28 白天
4702
A+级

聚烯烃 NaCl 0,9% 3 & 12 mg/ml 20-25°C 光/避光
7 白天
4702
A+级

聚烯烃 NaCl 0,9% 4,9 mg/ml 2-8°C 避光
4 白天
4546
A级

聚烯烃 NaCl 0,9% 4,9 mg/ml 22-25°C 光
1 白天
4546
A级

聚烯烃 葡萄糖5% 12 mg/ml 2-8°C 避光
4 白天
4546
A级

聚烯烃 葡萄糖5% 12 mg/ml 22-25°C 光
1 白天
4546
A级

聚烯烃 葡萄糖5% 3 & 12 mg/ml 2-8°C 光/避光
28 白天
4702
A+级

聚烯烃 葡萄糖5% 3 & 12 mg/ml 20-25°C 光/避光
7 白天
4702
A+级

聚烯烃 葡萄糖5% 4,9 mg/ml 2-8°C 避光
4 白天
4546
A级

聚烯烃 葡萄糖5% 4,9 mg/ml 22-25°C 光
1 白天
4546
A级


  Mentions Légales