Последно актуализиране :
27/01/2026
противораково лекарство   Pemetrexed diarginine  
Инжекция/Инжекционен
Стабилност на разтвори Стабилност на смеси Фактори, повлияващи стабилността Съвместимост Път на въвеждане Библиография Pdf
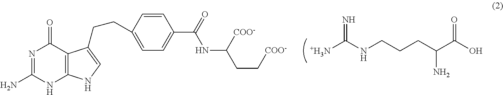
   Химична структура  

Търговско наименование   Търговско наименование     

Търговските имена са примерни и съставът на помощните вещества може да бъде различен в зависимост от държавата и лабораториите

Pemetrexed Mylan Франция
Pemetrexed Ohre Pharma Франция
Pemetrexed Zentiva Франция
Стабилност на разтвори   Инжекция/Инжекционен   Стабилност на разтвори : Pemetrexed diarginine     
Контейнер Разтворител Концентрация Температура Съхранение Продължителност на стабилността Библиография
Стъкло Няма 25 mg/ml 2-8°C Защита от светлина
14 Ден
4546
Степен на доказаност A

Стъкло Няма 25 mg/ml 2-8°C С или без светлина
7 Ден
4702
Степен на доказаност A+

Стъкло Няма 25 mg/ml 22-25°C Светлина
1 Ден
4546
Степен на доказаност A

частично използвани бутилки Няма 25 mg/ml 2-8°C Защита от светлина
7 Ден
4702
Степен на доказаност A+

частично използвани бутилки Няма 25 mg/ml 25°C Светлина
4 Ден
4702
Степен на доказаност A+

Полиолефин Sodium chloride 0,9% 12 mg/ml 2-8°C Защита от светлина
4 Ден
4546
Степен на доказаност A

Полиолефин Sodium chloride 0,9% 12 mg/ml 22-25°C Светлина
1 Ден
4546
Степен на доказаност A

Полиолефин Sodium chloride 0,9% 3 & 12 mg/ml 2-8°C С или без светлина
28 Ден
4702
Степен на доказаност A+

Полиолефин Sodium chloride 0,9% 3 & 12 mg/ml 20-25°C С или без светлина
7 Ден
4702
Степен на доказаност A+

Полиолефин Sodium chloride 0,9% 4,9 mg/ml 2-8°C Защита от светлина
4 Ден
4546
Степен на доказаност A

Полиолефин Sodium chloride 0,9% 4,9 mg/ml 22-25°C Светлина
1 Ден
4546
Степен на доказаност A

Полиолефин Glucose 5% 12 mg/ml 2-8°C Защита от светлина
4 Ден
4546
Степен на доказаност A

Полиолефин Glucose 5% 12 mg/ml 22-25°C Светлина
1 Ден
4546
Степен на доказаност A

Полиолефин Glucose 5% 3 & 12 mg/ml 2-8°C С или без светлина
28 Ден
4702
Степен на доказаност A+

Полиолефин Glucose 5% 3 & 12 mg/ml 20-25°C С или без светлина
7 Ден
4702
Степен на доказаност A+

Полиолефин Glucose 5% 4,9 mg/ml 2-8°C Защита от светлина
4 Ден
4546
Степен на доказаност A

Полиолефин Glucose 5% 4,9 mg/ml 22-25°C Светлина
1 Ден
4546
Степен на доказаност A


  Mentions Légales