آخر تحديث :
05/12/2025
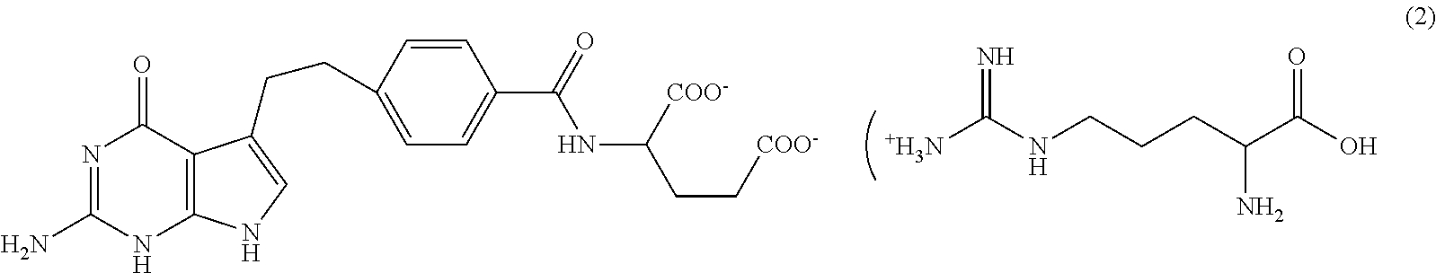
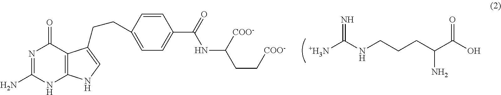
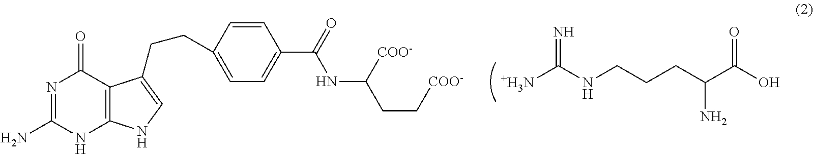
المضادة للسرطان المخدرات   Pemetrexed diarginine  
حقن
الاستقرار في حلول استقرار مخاليط العوامل التي تؤثر على الاستقرار التوافق طريقة التعاطي مراجع pdf
   التركيب الكيميائي  

حجز الاسم التجاري   حجز الاسم التجاري     

تحذير الأسماء التجاريه المختلفه قد تحتوي علي محتوي إضافات مختلفة حسب الدوله و المعمل

Pemetrexed Mylan فرنسا
Pemetrexed Ohre Pharma فرنسا
Pemetrexed Zentiva فرنسا
الاستقرار في حلول   حقن   الاستقرار في حلول : Pemetrexed diarginine     
حاوية مذيب تركيز درجة الحرارة تخزين مدة الاستقرار مراجع
زجاج لا شيء 25 mg/ml 2-8°C بعيدا عن الضوء
14 يوم
4546
A مستوى الأدلة

زجاج لا شيء 25 mg/ml 2-8°C مع أو بدون ضوء
7 يوم
4702
 A+ مستوى الأدلة

زجاج لا شيء 25 mg/ml 22-25°C ضوء
1 يوم
4546
A مستوى الأدلة

الزجاجات المستخدمة جزئياً لا شيء 25 mg/ml 2-8°C بعيدا عن الضوء
7 يوم
4702
 A+ مستوى الأدلة

الزجاجات المستخدمة جزئياً لا شيء 25 mg/ml 25°C ضوء
4 يوم
4702
 A+ مستوى الأدلة

البولي فين كلوريد الصوديوم 0.9% أو الجلوكوز 5% 12 mg/ml 2-8°C بعيدا عن الضوء
4 يوم
4546
A مستوى الأدلة

البولي فين كلوريد الصوديوم 0.9% أو الجلوكوز 5% 12 mg/ml 22-25°C ضوء
1 يوم
4546
A مستوى الأدلة

البولي فين كلوريد الصوديوم 0.9% أو الجلوكوز 5% 3 & 12 mg/ml 2-8°C مع أو بدون ضوء
28 يوم
4702
 A+ مستوى الأدلة

البولي فين كلوريد الصوديوم 0.9% أو الجلوكوز 5% 3 & 12 mg/ml 20-25°C مع أو بدون ضوء
7 يوم
4702
 A+ مستوى الأدلة

البولي فين كلوريد الصوديوم 0.9% أو الجلوكوز 5% 4,9 mg/ml 2-8°C بعيدا عن الضوء
4 يوم
4546
A مستوى الأدلة

البولي فين كلوريد الصوديوم 0.9% أو الجلوكوز 5% 4,9 mg/ml 22-25°C ضوء
1 يوم
4546
A مستوى الأدلة


  Mentions Légales