Última actualização :
27/01/2026
droga contra o câncer   Pemetrexed diarginine  
injetável
Estabilidade em soluções simples Estabilidade em misturas Factores que afectam a sua estabilidade Compatibilidade Método de administração Bibliografía pdf
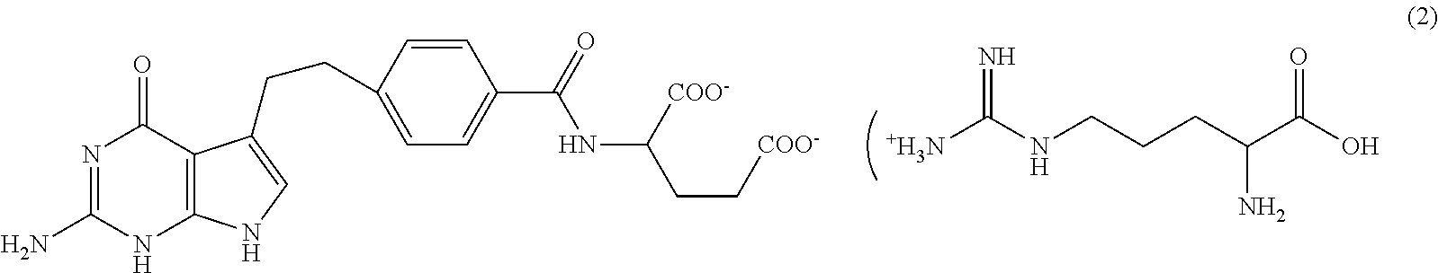
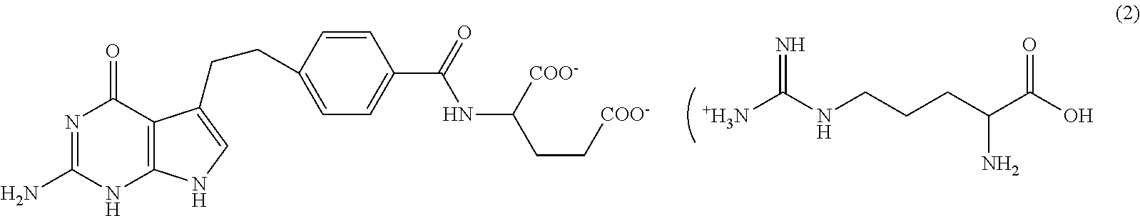
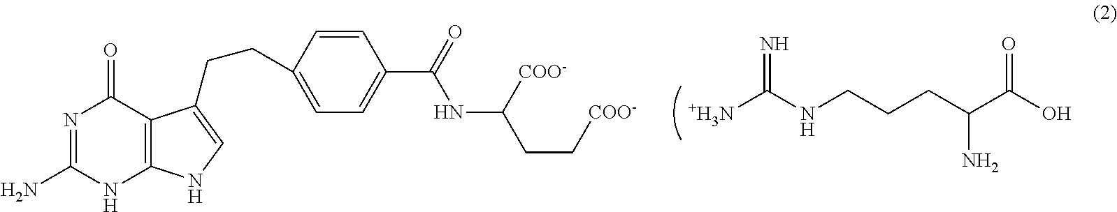
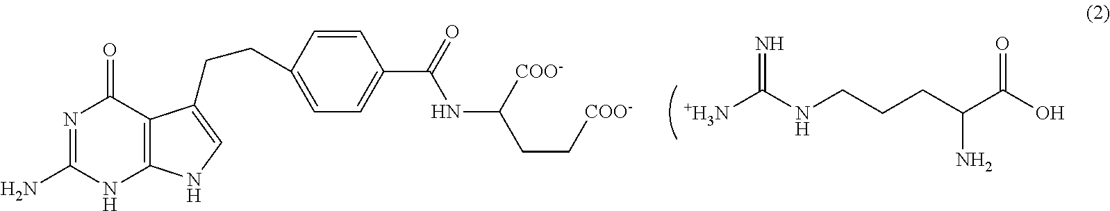
   estrutura química  

Nomes comerciais nos diversos países   Nomes comerciais nos diversos países     

OS NOMES COMERCIAIS SÃO INDICATIVOS E OS EXCIPIENTES DA FORMULAÇÃO PODEM SER DIFERENTES CONFORME O PAÍS E FABRICANTE.

Pemetrexed Mylan França
Pemetrexed Ohre Pharma França
Pemetrexed Zentiva França
Estabilidade em soluções simples   injetável   Estabilidade em soluções simples : Pemetrexed diarginine     
Embalagem Solvente concentração temperatura conservação Duração da estabilidade Bibliografia
vidro nenhum 25 mg/ml 2-8°C ao abrigo da luz
14 dia
4546
Nível de evidência A

vidro nenhum 25 mg/ml 2-8°C Com ou sem luz
7 dia
4702
Nível de evidência A+

vidro nenhum 25 mg/ml 22-25°C luz
1 dia
4546
Nível de evidência A

frascos parcialmente usados nenhum 25 mg/ml 2-8°C ao abrigo da luz
7 dia
4702
Nível de evidência A+

frascos parcialmente usados nenhum 25 mg/ml 25°C luz
4 dia
4702
Nível de evidência A+

Poliolefina cloreto de sódio 0,9% 12 mg/ml 2-8°C ao abrigo da luz
4 dia
4546
Nível de evidência A

Poliolefina cloreto de sódio 0,9% 12 mg/ml 22-25°C luz
1 dia
4546
Nível de evidência A

Poliolefina cloreto de sódio 0,9% 3 & 12 mg/ml 2-8°C Com ou sem luz
28 dia
4702
Nível de evidência A+

Poliolefina cloreto de sódio 0,9% 3 & 12 mg/ml 20-25°C Com ou sem luz
7 dia
4702
Nível de evidência A+

Poliolefina cloreto de sódio 0,9% 4,9 mg/ml 2-8°C ao abrigo da luz
4 dia
4546
Nível de evidência A

Poliolefina cloreto de sódio 0,9% 4,9 mg/ml 22-25°C luz
1 dia
4546
Nível de evidência A

Poliolefina Glucose 5% 12 mg/ml 2-8°C ao abrigo da luz
4 dia
4546
Nível de evidência A

Poliolefina Glucose 5% 12 mg/ml 22-25°C luz
1 dia
4546
Nível de evidência A

Poliolefina Glucose 5% 3 & 12 mg/ml 2-8°C Com ou sem luz
28 dia
4702
Nível de evidência A+

Poliolefina Glucose 5% 3 & 12 mg/ml 20-25°C Com ou sem luz
7 dia
4702
Nível de evidência A+

Poliolefina Glucose 5% 4,9 mg/ml 2-8°C ao abrigo da luz
4 dia
4546
Nível de evidência A

Poliolefina Glucose 5% 4,9 mg/ml 22-25°C luz
1 dia
4546
Nível de evidência A


  Mentions Légales