zadnja posodobitev :
05/12/2025
rak drog   Pemetrexed diarginine  
Brizgalka
Stabilnost raztopine Stabilnost mešanice Faktorji, ki vplivajo na stabilnost Kompatibilnost način aplikacije Viri pdf
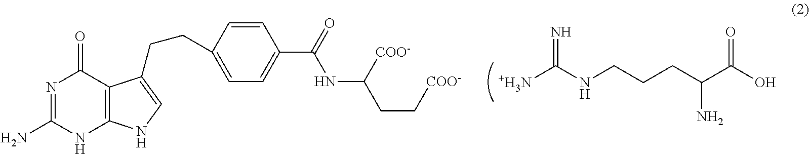
   Kemična formula  

Lastniško ime   Lastniško ime     

Sestava pomožnih snovi je med paralelami lahko različna

Pemetrexed Mylan Francija
Pemetrexed Ohre Pharma Francija
Pemetrexed Zentiva Francija
Stabilnost raztopine   Brizgalka   Stabilnost raztopine : Pemetrexed diarginine     
Vsebnik Topilo Koncentracija Temperatura Shranjevanje Trajanje stabilnosti Viri
Steklo Nobeden 25 mg/ml 2-8°C Zaščiteno pred svetlobo
14 Dan
4546
 Stopnja dokaza A

Steklo Nobeden 25 mg/ml 2-8°C Z ali brez svetlobe
7 Dan
4702
 Stopnja dokaza A+

Steklo Nobeden 25 mg/ml 22-25°C Svetloba
1 Dan
4546
 Stopnja dokaza A

delno uporabljene viale Nobeden 25 mg/ml 2-8°C Zaščiteno pred svetlobo
7 Dan
4702
 Stopnja dokaza A+

delno uporabljene viale Nobeden 25 mg/ml 25°C Svetloba
4 Dan
4702
 Stopnja dokaza A+

Poliolefin NaCl 0,9% ali glukoza 5% 12 mg/ml 2-8°C Zaščiteno pred svetlobo
4 Dan
4546
 Stopnja dokaza A

Poliolefin NaCl 0,9% ali glukoza 5% 12 mg/ml 22-25°C Svetloba
1 Dan
4546
 Stopnja dokaza A

Poliolefin NaCl 0,9% ali glukoza 5% 3 & 12 mg/ml 2-8°C Z ali brez svetlobe
28 Dan
4702
 Stopnja dokaza A+

Poliolefin NaCl 0,9% ali glukoza 5% 3 & 12 mg/ml 20-25°C Z ali brez svetlobe
7 Dan
4702
 Stopnja dokaza A+

Poliolefin NaCl 0,9% ali glukoza 5% 4,9 mg/ml 2-8°C Zaščiteno pred svetlobo
4 Dan
4546
 Stopnja dokaza A

Poliolefin NaCl 0,9% ali glukoza 5% 4,9 mg/ml 22-25°C Svetloba
1 Dan
4546
 Stopnja dokaza A


  Mentions Légales