Utolsó frissítés :
27/01/2026
rákellenes gyógyszer   Pemetrexed diarginine  
Injekció
Az oldatok stabilitása A keverékek stabilitása Stabilitást befolyásoló tényezők Kompatibilitás Az alkalmazás módja Irodalom pdf
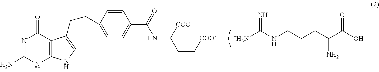
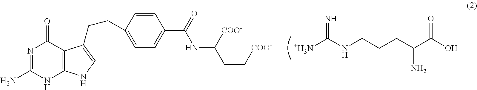
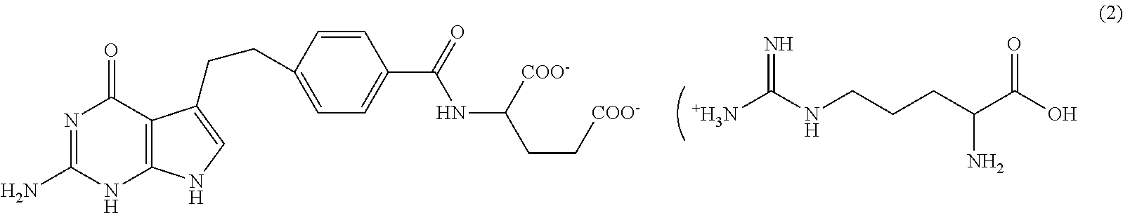
   Kémiai szerkezet   

Kereskedelmi név   Kereskedelmi név     

A kereskedelmi név meghatározó jelentőségű: a készítmények összetétele országonként, előállítóként eltérő lehet

Pemetrexed Mylan Franciaország
Pemetrexed Ohre Pharma Franciaország
Pemetrexed Zentiva Franciaország
Az oldatok stabilitása   Injekció   Az oldatok stabilitása : Pemetrexed diarginine     
Csomagolás Oldószer Koncentráció Hőmérséklet Tárolás A stabilitás időtartama Irodalom
Üveg Egy sem 25 mg/ml 2-8°C Fénytől védve tartandó
14 Nap
4546
Szintű bizonyítékot A

Üveg Egy sem 25 mg/ml 2-8°C Fénnyel vagy anélkül
7 Nap
4702
Szintű bizonyítékot A+

Üveg Egy sem 25 mg/ml 22-25°C Fény
1 Nap
4546
Szintű bizonyítékot A

részben használt palackok Egy sem 25 mg/ml 2-8°C Fénytől védve tartandó
7 Nap
4702
Szintű bizonyítékot A+

részben használt palackok Egy sem 25 mg/ml 25°C Fény
4 Nap
4702
Szintű bizonyítékot A+

Poliolefin 0,9% nátrium-klorid 12 mg/ml 2-8°C Fénytől védve tartandó
4 Nap
4546
Szintű bizonyítékot A

Poliolefin 0,9% nátrium-klorid 12 mg/ml 22-25°C Fény
1 Nap
4546
Szintű bizonyítékot A

Poliolefin 0,9% nátrium-klorid 3 & 12 mg/ml 2-8°C Fénnyel vagy anélkül
28 Nap
4702
Szintű bizonyítékot A+

Poliolefin 0,9% nátrium-klorid 3 & 12 mg/ml 20-25°C Fénnyel vagy anélkül
7 Nap
4702
Szintű bizonyítékot A+

Poliolefin 0,9% nátrium-klorid 4,9 mg/ml 2-8°C Fénytől védve tartandó
4 Nap
4546
Szintű bizonyítékot A

Poliolefin 0,9% nátrium-klorid 4,9 mg/ml 22-25°C Fény
1 Nap
4546
Szintű bizonyítékot A

Poliolefin 5% glükóz 12 mg/ml 2-8°C Fénytől védve tartandó
4 Nap
4546
Szintű bizonyítékot A

Poliolefin 5% glükóz 12 mg/ml 22-25°C Fény
1 Nap
4546
Szintű bizonyítékot A

Poliolefin 5% glükóz 3 & 12 mg/ml 2-8°C Fénnyel vagy anélkül
28 Nap
4702
Szintű bizonyítékot A+

Poliolefin 5% glükóz 3 & 12 mg/ml 20-25°C Fénnyel vagy anélkül
7 Nap
4702
Szintű bizonyítékot A+

Poliolefin 5% glükóz 4,9 mg/ml 2-8°C Fénytől védve tartandó
4 Nap
4546
Szintű bizonyítékot A

Poliolefin 5% glükóz 4,9 mg/ml 22-25°C Fény
1 Nap
4546
Szintű bizonyítékot A


  Mentions Légales