Ultimo aggiornamento :
27/01/2026
farmaco contro il cancro   Pemetrexed diarginine  
Iniezione
Stabilità in soluzione Stabilità in miscela Fattori che influenzano la stabilità Compatibilità metodo di iniezione Bibliografia pdf
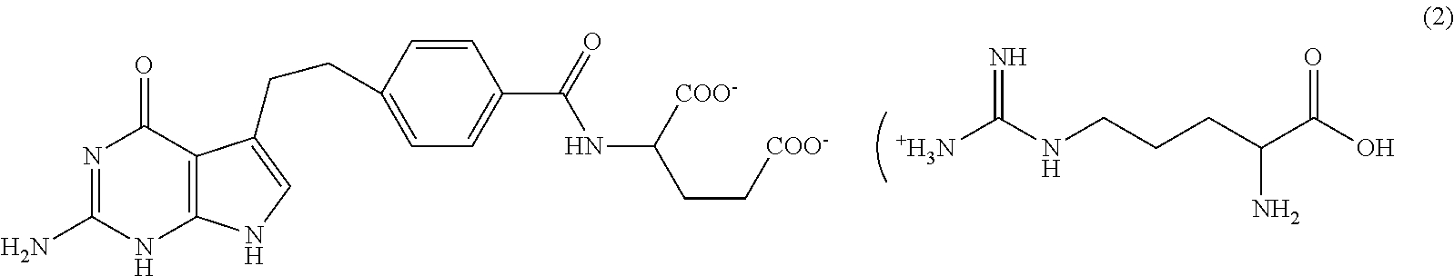
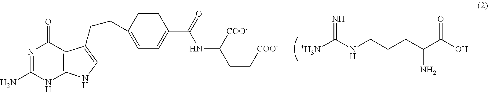
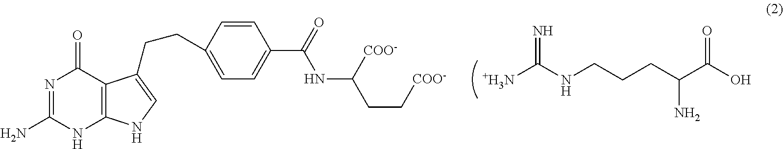
   Struttura chimica  

Nome commerciale   Nome commerciale     

Trade names are indicative and excipients composition can be different depending on the country and manufacturers

Pemetrexed Mylan Francia
Pemetrexed Ohre Pharma Francia
Pemetrexed Zentiva Francia
Stabilità in soluzione   Iniezione   Stabilità in soluzione : Pemetrexed diarginine     
contenitore Solvente Concentrazione Temperatura Conservazione Durata della stabilità Bibliografia
Vetro Nessuno 25 mg/ml 2-8°C Al riparo dalla luce
14 Giorno
4546
Livello di evidenza A

Vetro Nessuno 25 mg/ml 2-8°C Con o senza luce
7 Giorno
4702
Livello di evidenza A+

Vetro Nessuno 25 mg/ml 22-25°C Luce
1 Giorno
4546
Livello di evidenza A

bottiglie parzialmente usate Nessuno 25 mg/ml 2-8°C Al riparo dalla luce
7 Giorno
4702
Livello di evidenza A+

bottiglie parzialmente usate Nessuno 25 mg/ml 25°C Luce
4 Giorno
4702
Livello di evidenza A+

Poliolefina Cloruro di sodio 0,9% 12 mg/ml 2-8°C Al riparo dalla luce
4 Giorno
4546
Livello di evidenza A

Poliolefina Cloruro di sodio 0,9% 12 mg/ml 22-25°C Luce
1 Giorno
4546
Livello di evidenza A

Poliolefina Cloruro di sodio 0,9% 3 & 12 mg/ml 2-8°C Con o senza luce
28 Giorno
4702
Livello di evidenza A+

Poliolefina Cloruro di sodio 0,9% 3 & 12 mg/ml 20-25°C Con o senza luce
7 Giorno
4702
Livello di evidenza A+

Poliolefina Cloruro di sodio 0,9% 4,9 mg/ml 2-8°C Al riparo dalla luce
4 Giorno
4546
Livello di evidenza A

Poliolefina Cloruro di sodio 0,9% 4,9 mg/ml 22-25°C Luce
1 Giorno
4546
Livello di evidenza A

Poliolefina Glucosio 5% 12 mg/ml 2-8°C Al riparo dalla luce
4 Giorno
4546
Livello di evidenza A

Poliolefina Glucosio 5% 12 mg/ml 22-25°C Luce
1 Giorno
4546
Livello di evidenza A

Poliolefina Glucosio 5% 3 & 12 mg/ml 2-8°C Con o senza luce
28 Giorno
4702
Livello di evidenza A+

Poliolefina Glucosio 5% 3 & 12 mg/ml 20-25°C Con o senza luce
7 Giorno
4702
Livello di evidenza A+

Poliolefina Glucosio 5% 4,9 mg/ml 2-8°C Al riparo dalla luce
4 Giorno
4546
Livello di evidenza A

Poliolefina Glucosio 5% 4,9 mg/ml 22-25°C Luce
1 Giorno
4546
Livello di evidenza A


  Mentions Légales