Cập nhật lần cuối :
27/01/2026
thuốc trị ung thư   Pemetrexed diarginine  
Dạng tiêm
Tính ổn định của các dung dịch Độ ổn định khi trộn lẫn Những yếu tố ảnh hưởng đến độ ổn định Khả năng tương thích Đường dùng Tài liệu tham khảo Pdf
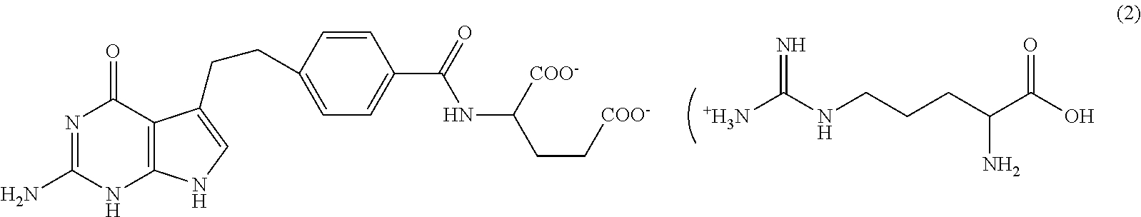
   Cấu trúc hóa học  

Tên thương mại   Tên thương mại     

Các tên thương mại được cung cấp và thành phần tá dược có thể khác nhau giữa các quốc gia và các hãng dược

Pemetrexed Mylan Pháp
Pemetrexed Ohre Pharma Pháp
Pemetrexed Zentiva Pháp
Tài liệu tham khảo   Dạng tiêm   Tài liệu tham khảo : Pemetrexed diarginine  

  Mentions Légales