Ostatnia aktualizacja :
27/01/2026
Lek cytostatyk   Pemetrexed diarginine  
Injekcje
Trwałość roztworów Trwałość w mieszaninie Czynnik wpływający na trwałość Zgodność Sposób podania Bibliografia pdf
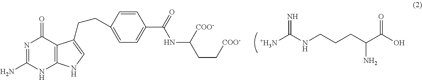
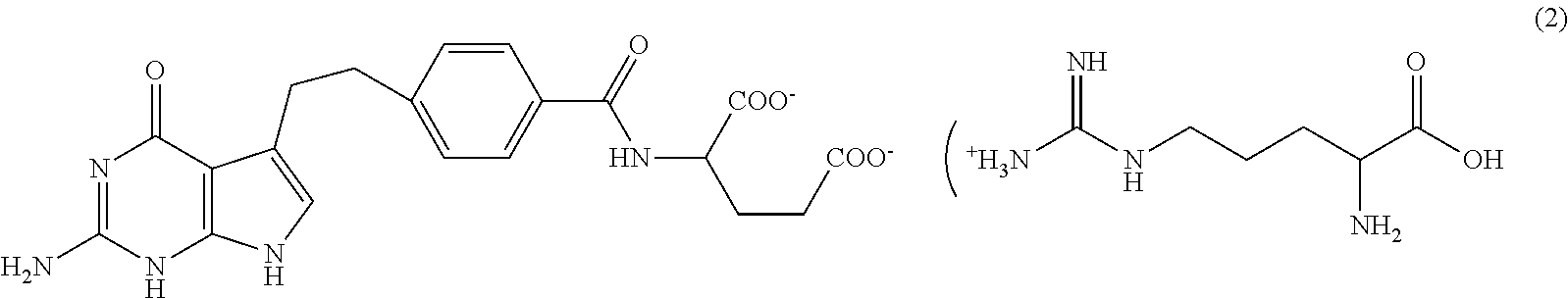
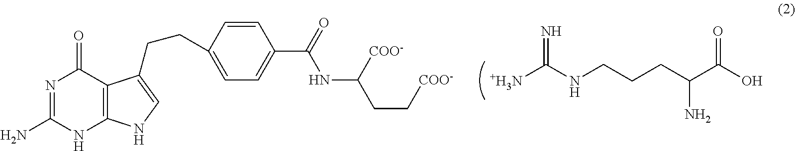
   Struktura chemiczna  

Nazwa handlowa   Nazwa handlowa     

Trade names are indicative and excipients composition can be different depending on the country and manufacturers

Pemetrexed Mylan Francja
Pemetrexed Ohre Pharma Francja
Pemetrexed Zentiva Francja
Bibliografia   Injekcje   Bibliografia : Pemetrexed diarginine  

  Mentions Légales