zadnja posodobitev :
27/01/2026
Infostab
Seznami
Seznami
Poiščite združljivosti
Tabela združljivosti Y-strani
Viri
raziskovalne skupine
valistab
poster
Povezave
sponzorji
Avtor
Navodilo za uporabo
Newsletter
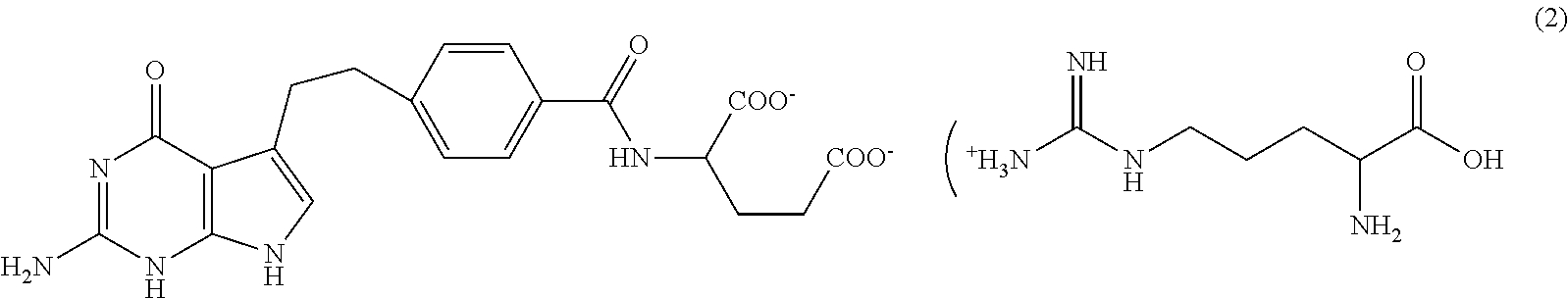
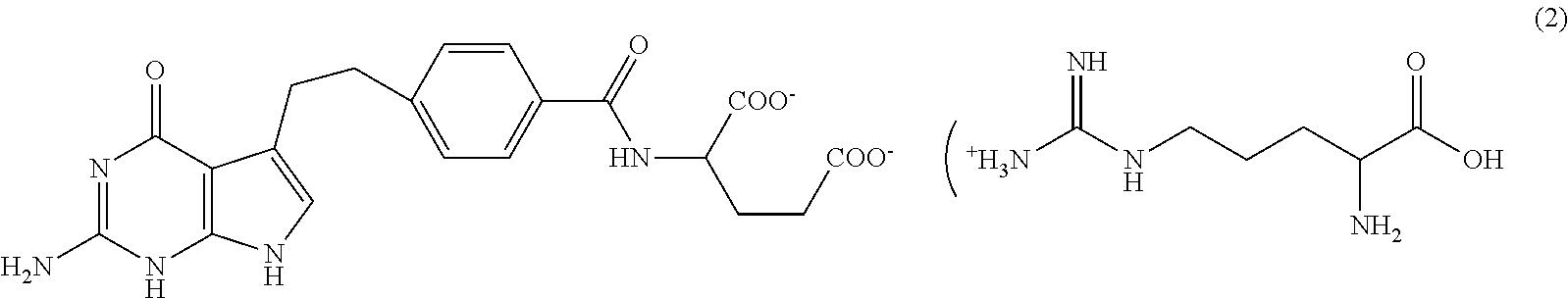
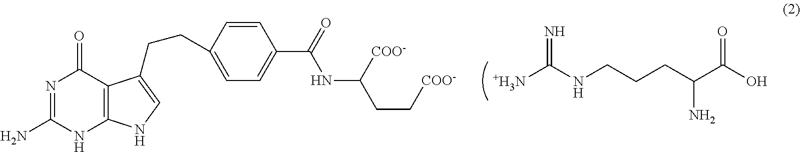
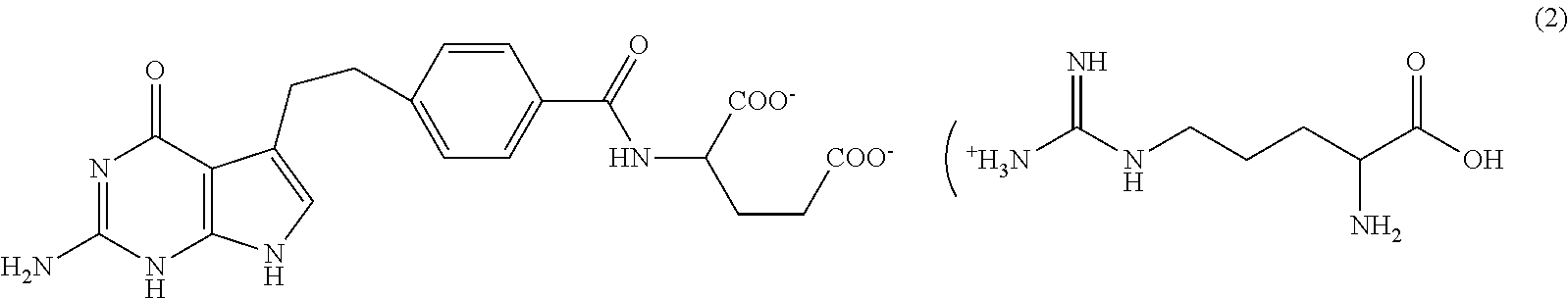
Pemetrexed diarginine
Kemična formula
Lastniško ime
Sestava pomožnih snovi je med paralelami lahko različna
Pemetrexed Mylan
Francija
Pemetrexed Ohre Pharma
Francija
Pemetrexed Zentiva
Francija
Viri : Pemetrexed diarginine
Tip
objava
4546
časopis
Vidal F, Cotteret C, Negbane A, Sebti M, Hinterlang M, Cisternino S, Schlatter J.
Stability of pemetrexed diarginine concentrates for solution in vials and diluted in 0.9% sodium chloride and dextrose 5% polyolefin infusion bags.
EJHP 2021
4589
Traduction Laboratorij
Pemetrexed Viatris- Résumé des caractéristiques du produit
Viatris 2025
4702
časopis
Nisse Y-E, Sobalak N, Vigneron J, Demoré B.
Physicochemical stability of pemetrexed diarginine at 25 mg/mL in partially-used vials and at 3 and 12 mg/mL diluted in dextrose 5% or in sodium chloride 0.9% in polyolefin bags.
EJOP 2022 ; 5: 2.
Mentions Légales