Pēdējā atjaunošana :
27/01/2026
Infostab
Saraksti
Kopsavilkums
Meklēt saderības
Y-savienojuma saderības tabula
Literatūras saraksts
pētniecības grupas
valistab
plakāts
Savienojumi
sponsori
Autori
Lietošanas instrukcija
Newsletter
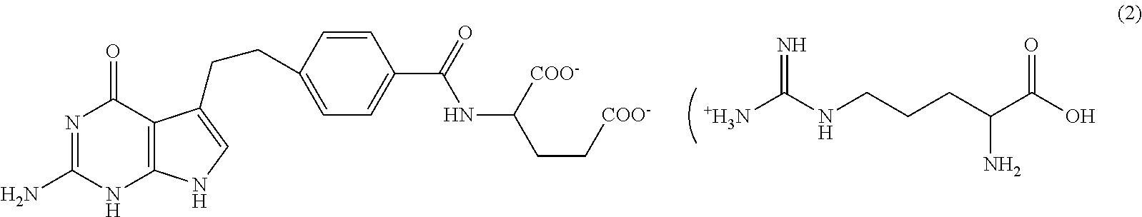
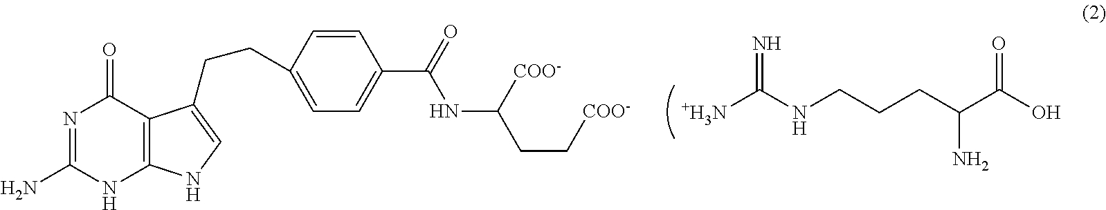
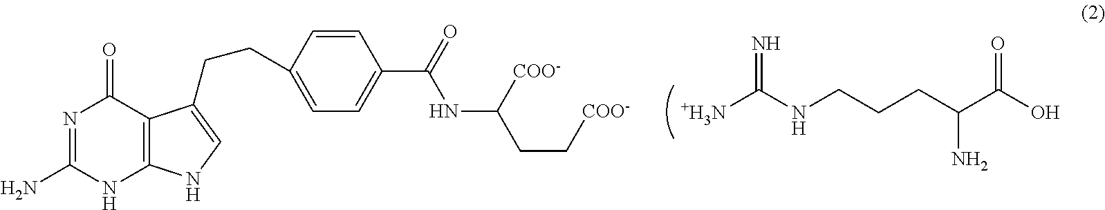
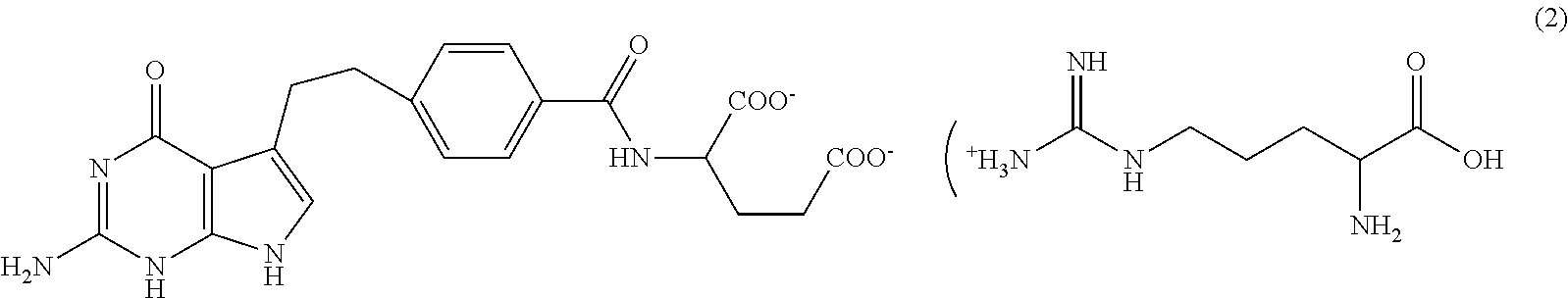
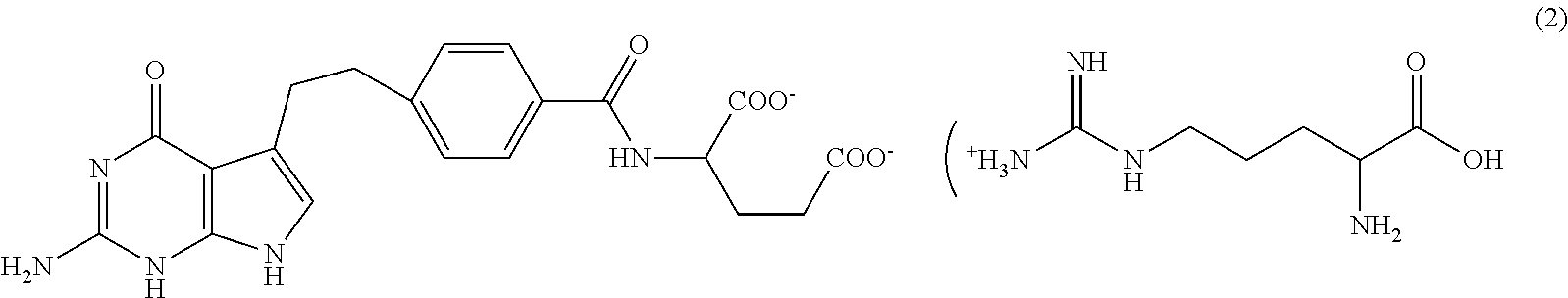
Pemetrexed diarginine
Ķīmiskā uzbūve
Oriģinālais nosaukums
Tirdzniecības nosaukumi ir apzīmējoši un palīgvielas var atšķirties dažādām valstīm un laboratorijām
Pemetrexed Mylan
Francija
Pemetrexed Ohre Pharma
Francija
Pemetrexed Zentiva
Francija
Literatūras saraksts : Pemetrexed diarginine
tips
publicēšana
4546
Žurnāls
Vidal F, Cotteret C, Negbane A, Sebti M, Hinterlang M, Cisternino S, Schlatter J.
Stability of pemetrexed diarginine concentrates for solution in vials and diluted in 0.9% sodium chloride and dextrose 5% polyolefin infusion bags.
EJHP 2021
4589
Laboratorija
Pemetrexed Viatris- Résumé des caractéristiques du produit
Viatris 2025
4702
Žurnāls
Nisse Y-E, Sobalak N, Vigneron J, Demoré B.
Physicochemical stability of pemetrexed diarginine at 25 mg/mL in partially-used vials and at 3 and 12 mg/mL diluted in dextrose 5% or in sodium chloride 0.9% in polyolefin bags.
EJOP 2022 ; 5: 2.
Mentions Légales