Seneste opdatering :
27/01/2026
anticancer medicin   Pemetrexed diarginine  
Injektion
Stabilitet i (vandige) opløsninger Stabilitet i blandinger Faktorer der påvirker stabiliteten Kompatibilitet Administrationsvej Bibliografi pdf
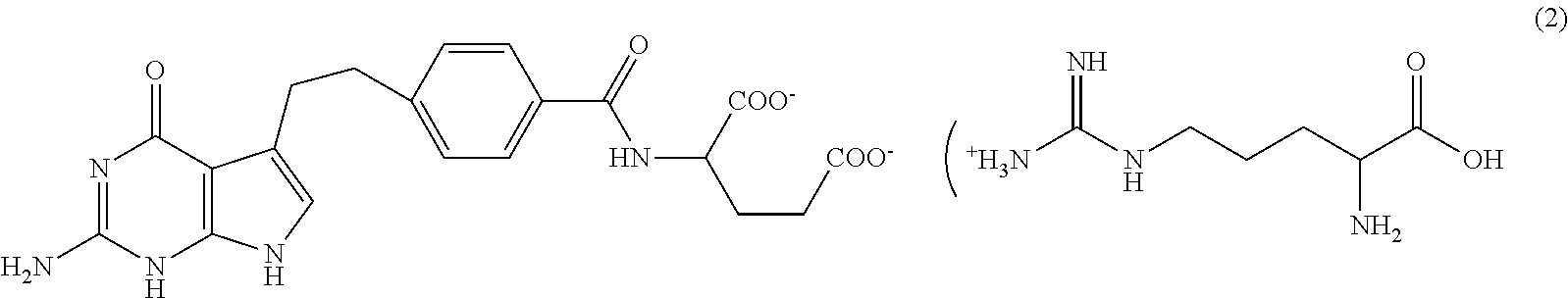
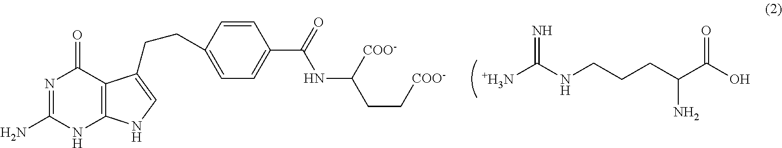
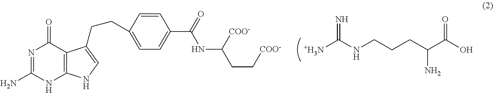
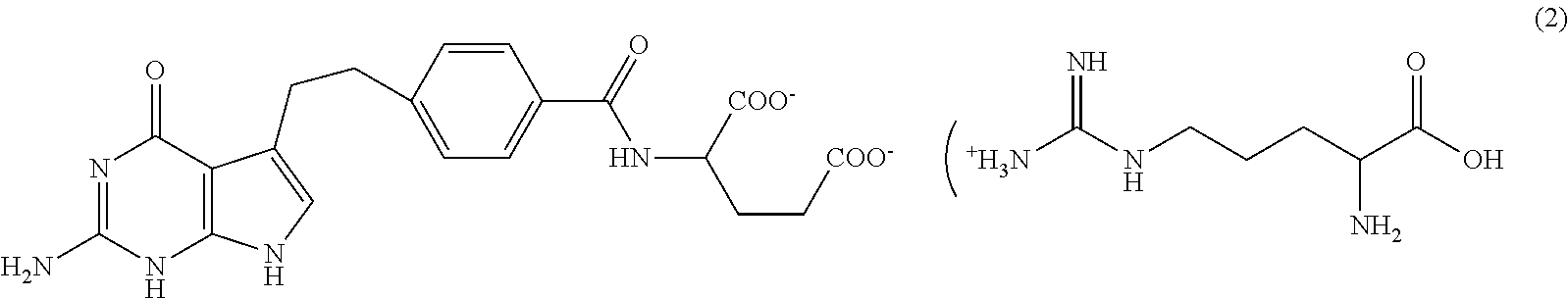
   Kemisk struktur  

Handelsnavn   Handelsnavn     

Handel navne er vejledende og hjælpestoffer sammensætning kan være forskellig afhængigt af landet og laboratorier

Pemetrexed Mylan Frankrig
Pemetrexed Ohre Pharma Frankrig
Pemetrexed Zentiva Frankrig
Bibliografi   Injektion   Bibliografi : Pemetrexed diarginine  

  Mentions Légales