Son güncelleme :
27/01/2026
kanser ilaç   Pemetrexed diarginine  
Enjeksiyon
Çözeltilerin stabilitesi Karışımlardaki stabilitesi Stabiliteyi etkileyen faktörler Uyumluluk Uygulama yöntemi Kaynaklar pdf
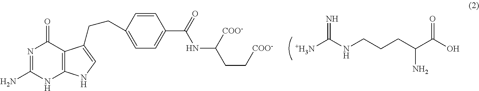
   Kimyasal yapı   

Ticari isim   Ticari isim     

Trade names are indicative and excipients composition can be different depending on the country and manufacturers

Pemetrexed Mylan Fransa
Pemetrexed Ohre Pharma Fransa
Pemetrexed Zentiva Fransa
Kaynaklar   Enjeksiyon    Kaynaklar : Pemetrexed diarginine  

  Mentions Légales