Ultimele actualizari :
27/01/2026
Citostatic   Pemetrexed diarginine  
Injectabil
Stabilitatea in solutie Stabilitatea in amestec Factorii care influenteaza stabilitatea Compatibilitate Microunde Bibliografie pdf
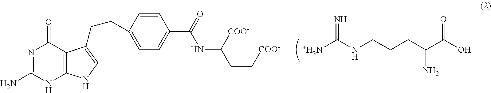
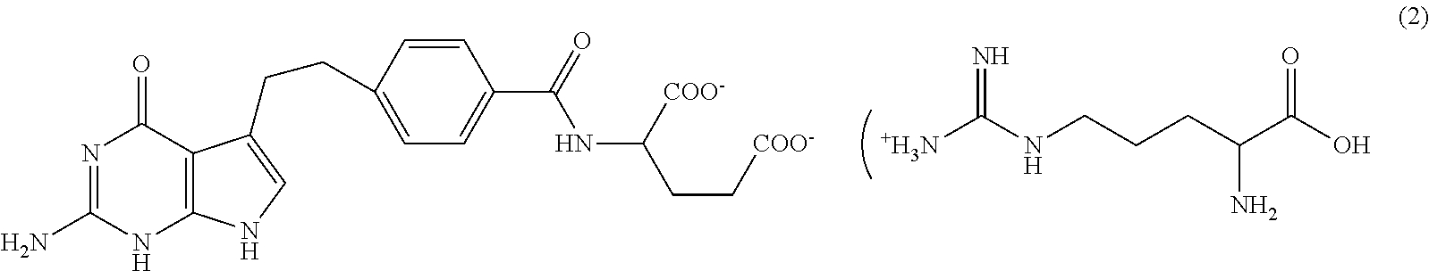
   Formula chimica  

Denumirea comerciala   Denumirea comerciala     

Trade names are indicative and excipients composition can be different depending on the country and manufacturers

Pemetrexed Mylan Franta
Pemetrexed Ohre Pharma Franta
Pemetrexed Zentiva Franta
Bibliografie   Injectabil   Bibliografie : Pemetrexed diarginine  

  Mentions Légales