آخر تحديث :
27/01/2026
Infostab
قائمة المركبات
ملخص القوائم
ابحث عن التوافق
جدول توافق موقع ص
مراجع
فرق البحث
valistab
الملصق
الروابط
الرعاة
الكتاب
دليل المستخدم
النشرة الإخبارية
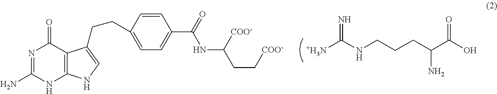
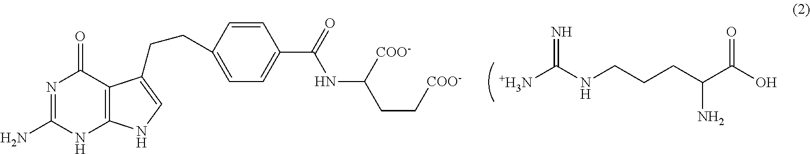
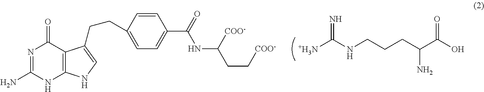
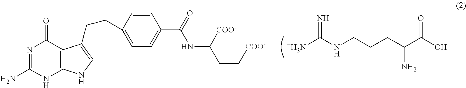
Pemetrexed diarginine
التركيب الكيميائي
حجز الاسم التجاري
تحذير الأسماء التجاريه المختلفه قد تحتوي علي محتوي إضافات مختلفة حسب الدوله و المعمل
Pemetrexed Mylan
فرنسا
Pemetrexed Ohre Pharma
فرنسا
Pemetrexed Zentiva
فرنسا
مراجع : Pemetrexed diarginine
نوع
منشور
4546
مجلة
Vidal F, Cotteret C, Negbane A, Sebti M, Hinterlang M, Cisternino S, Schlatter J.
Stability of pemetrexed diarginine concentrates for solution in vials and diluted in 0.9% sodium chloride and dextrose 5% polyolefin infusion bags.
EJHP 2021
4589
مختبر
Pemetrexed Viatris- Résumé des caractéristiques du produit
Viatris 2025
4702
مجلة
Nisse Y-E, Sobalak N, Vigneron J, Demoré B.
Physicochemical stability of pemetrexed diarginine at 25 mg/mL in partially-used vials and at 3 and 12 mg/mL diluted in dextrose 5% or in sodium chloride 0.9% in polyolefin bags.
EJOP 2022 ; 5: 2.
Mentions Légales