Son güncelleme :
27/01/2026
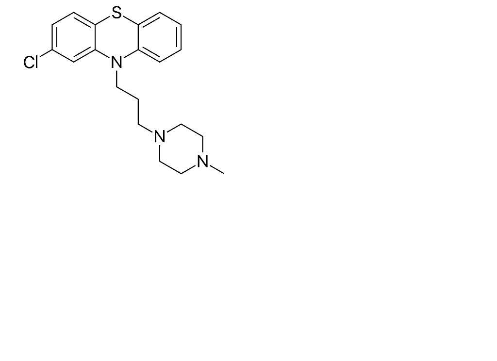
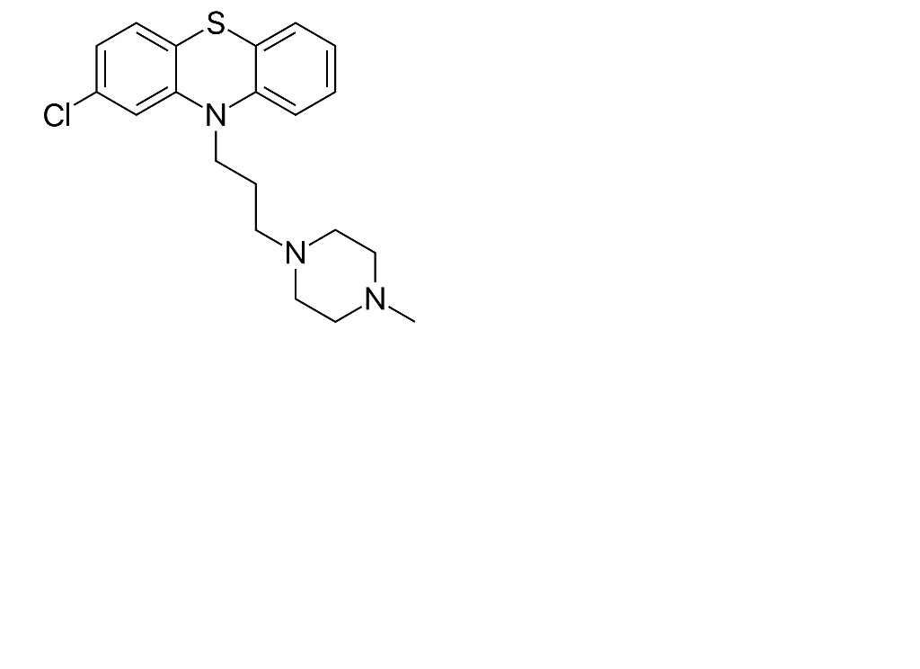
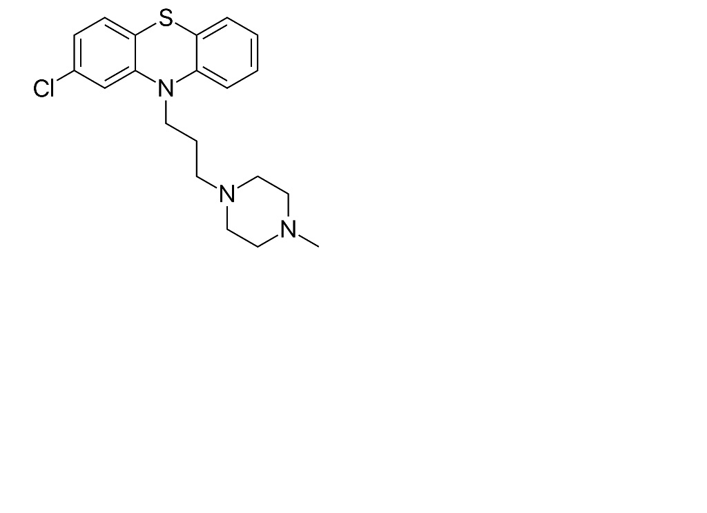
Antiemetik   Prochlorperazine edysilate  
burun damlaları
Enjeksiyon
Farmasötik preparatlar Kararlılığı Karışımlardaki stabilitesi Stabiliteyi etkileyen faktörler Uyumluluk Kaynaklar pdf
   Kimyasal yapı   

burun damlaları
Karışımlardaki stabilitesi   burun damlaları   Karışımlardaki stabilitesi : Prochlorperazine edysilate     
veri yok

  Mentions Légales