Utolsó frissítés :
27/01/2026
Hányáscsillapító   Prochlorperazine edysilate  
orrcseppek
Injekció
Stabilitása gyógyszerészeti készítmények A keverékek stabilitása Stabilitást befolyásoló tényezők Kompatibilitás Irodalom pdf
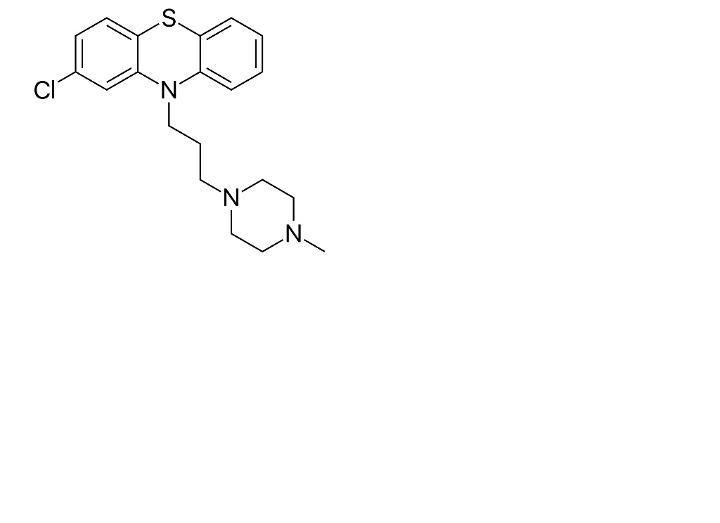
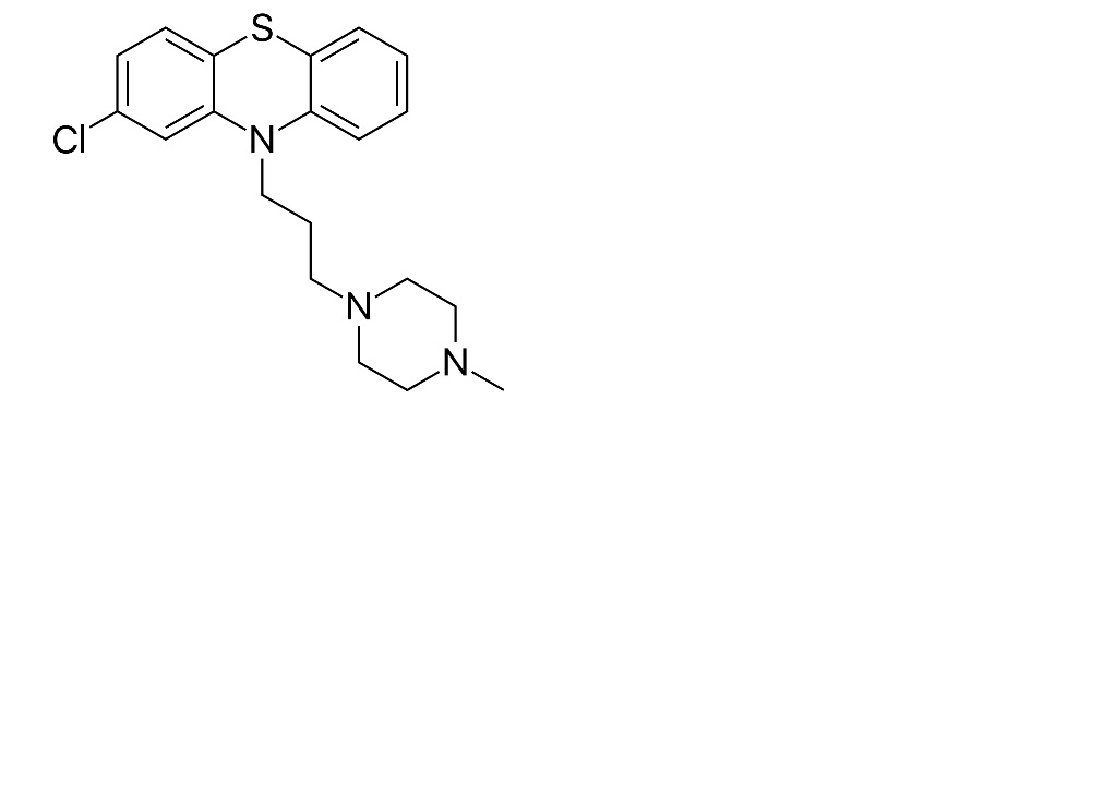
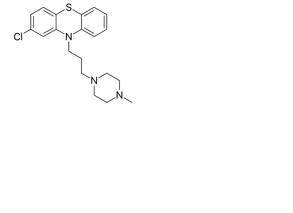
   Kémiai szerkezet   

orrcseppek
A keverékek stabilitása   orrcseppek   A keverékek stabilitása : Prochlorperazine edysilate     
Hiányzó adat

  Mentions Légales