Τελευταία ενημέρωση :
27/01/2026
Αντιεμετικό   Prochlorperazine edysilate  
Ρινικές σταγόνες
Ενέσιμο
Σταθερότητα και συμβατότητα των φαρμάκων Σταθερότητα σε μίγματα Παράγοντας που επηρεάζει τη σταθερότητα Συμβατότητες Βιβλιογραφία pdf
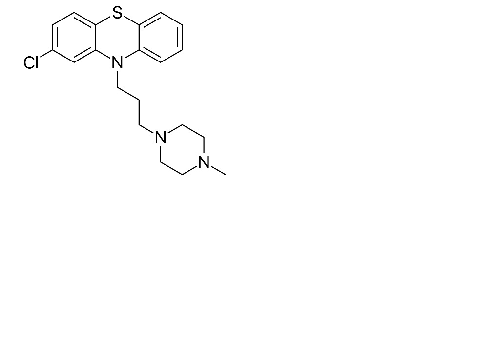
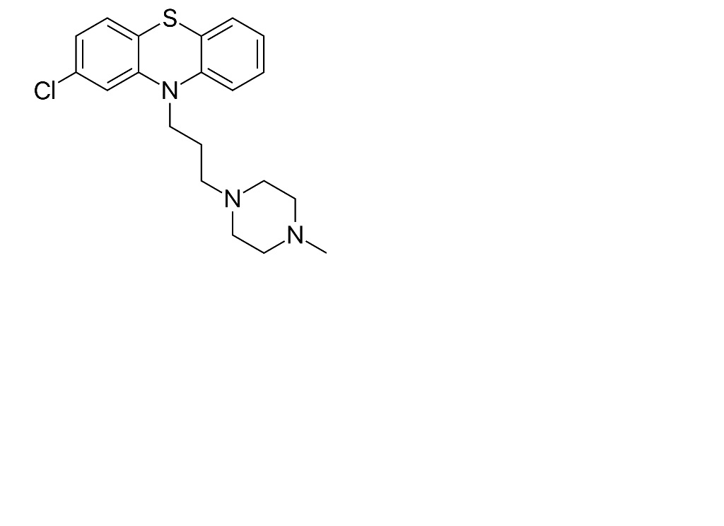
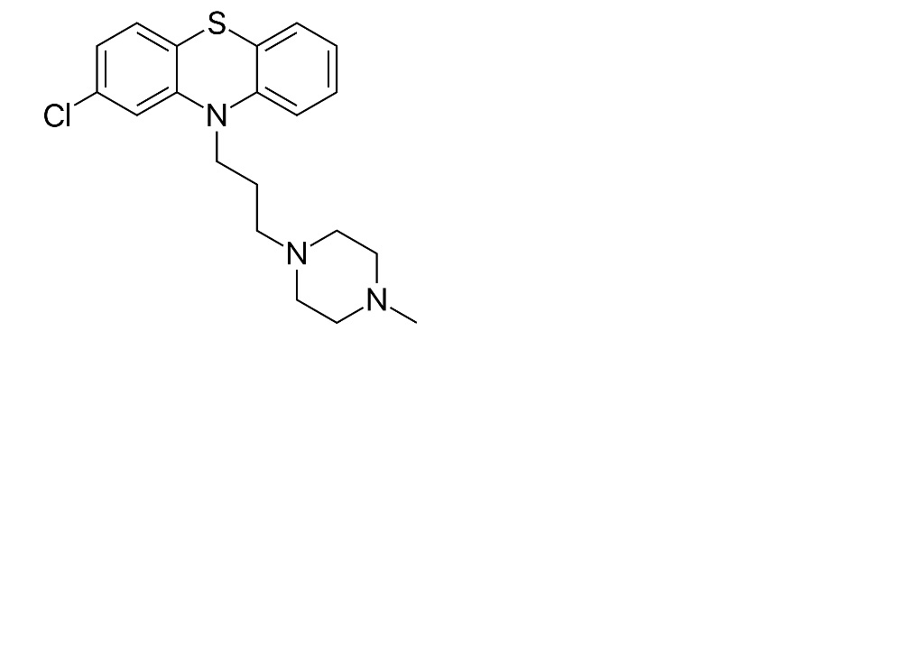
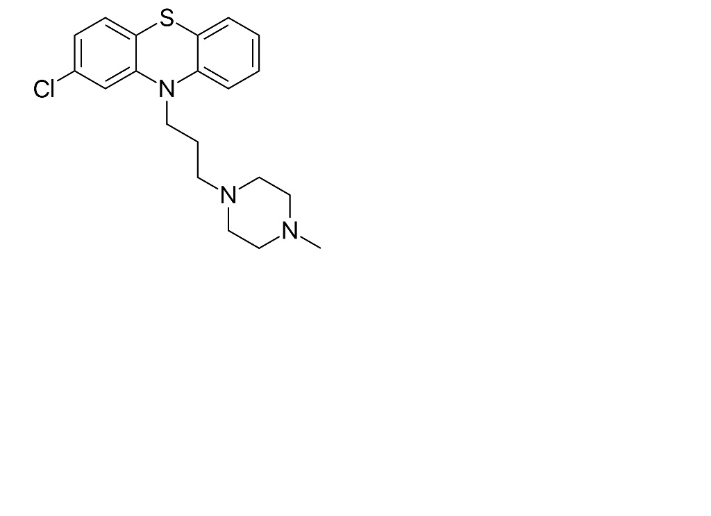
   χημική δομή  

Ρινικές σταγόνες
Σταθερότητα σε μίγματα   Ρινικές σταγόνες   Σταθερότητα σε μίγματα : Prochlorperazine edysilate     
Δεν υπάρχουν πληροφορίες

  Mentions Légales