Zadnji put ažurirano :
27/01/2026
antiemetik   Prochlorperazine edysilate  
kapi za nos
injekcija
Stabilnost farmaceutskih pripravaka Stabilnost mješavine Stabilizacijski faktor Kompatibilnosti Bibliografija pdf
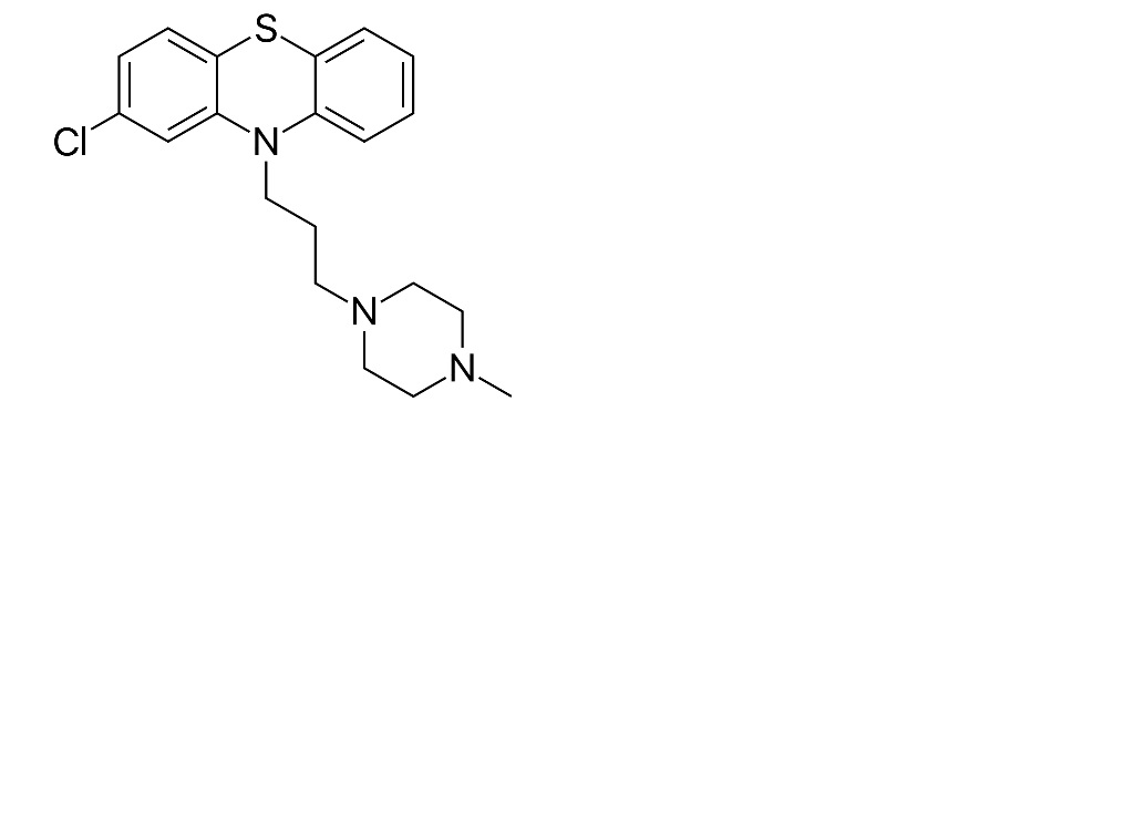
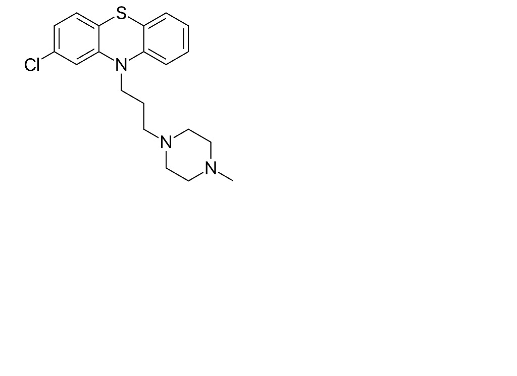
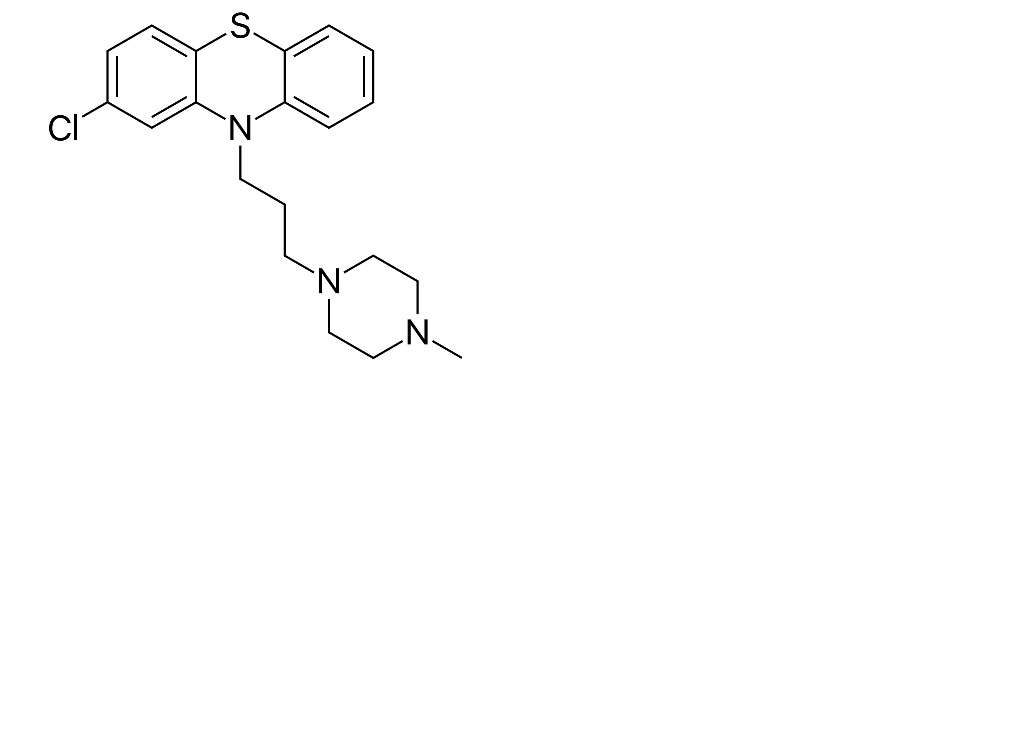
   Kemijska struktura  

kapi za nos
Stabilnost mješavine   kapi za nos   Stabilnost mješavine : Prochlorperazine edysilate     
bez podataka

  Mentions Légales