最新更新 :
27/01/2026
止吐药   Prochlorperazine edysilate  
鼻腔喷剂
注射液
制剂的稳定性 混合物稳定性 影响稳定性的因素 兼容性 引用文献 PDF
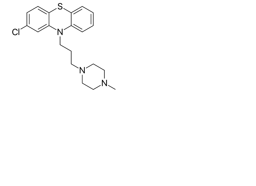
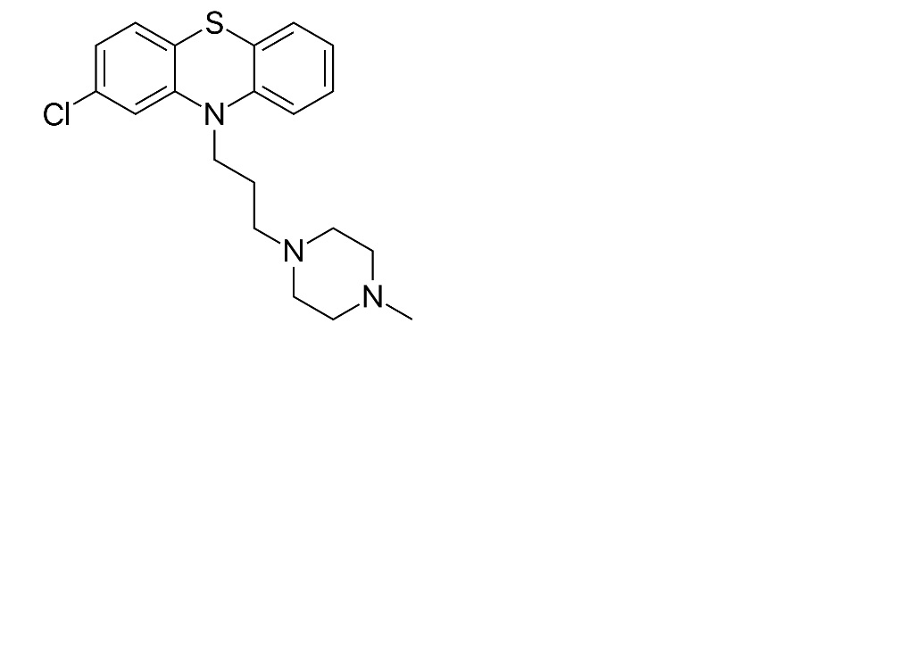
   化学式  

鼻腔喷剂
混合物稳定性   鼻腔喷剂   混合物稳定性 : Prochlorperazine edysilate     
无数据

  Mentions Légales