Poslední aktualizace :
27/01/2026
Antiemetikas   Prochlorperazine edysilate  
Lašai į nosį
Įpurškimas
Stabilumas farmacinių preparatų Mišinių stabilumas Stabilumą lemiantys veiksniai Suderinamumas Bibliografija pdf
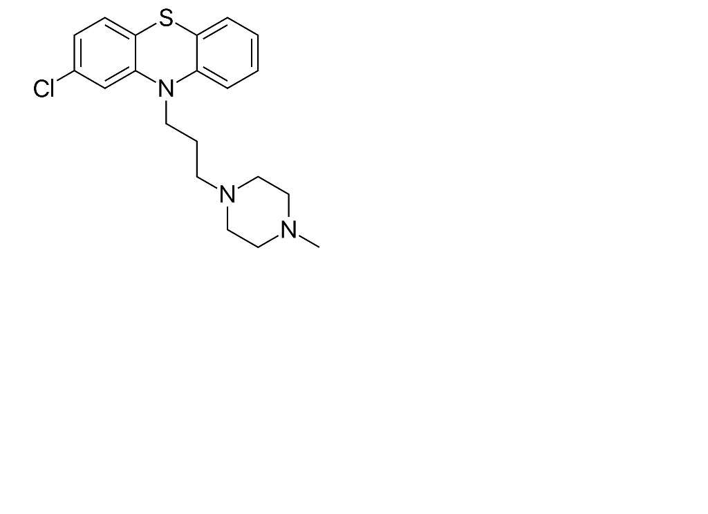
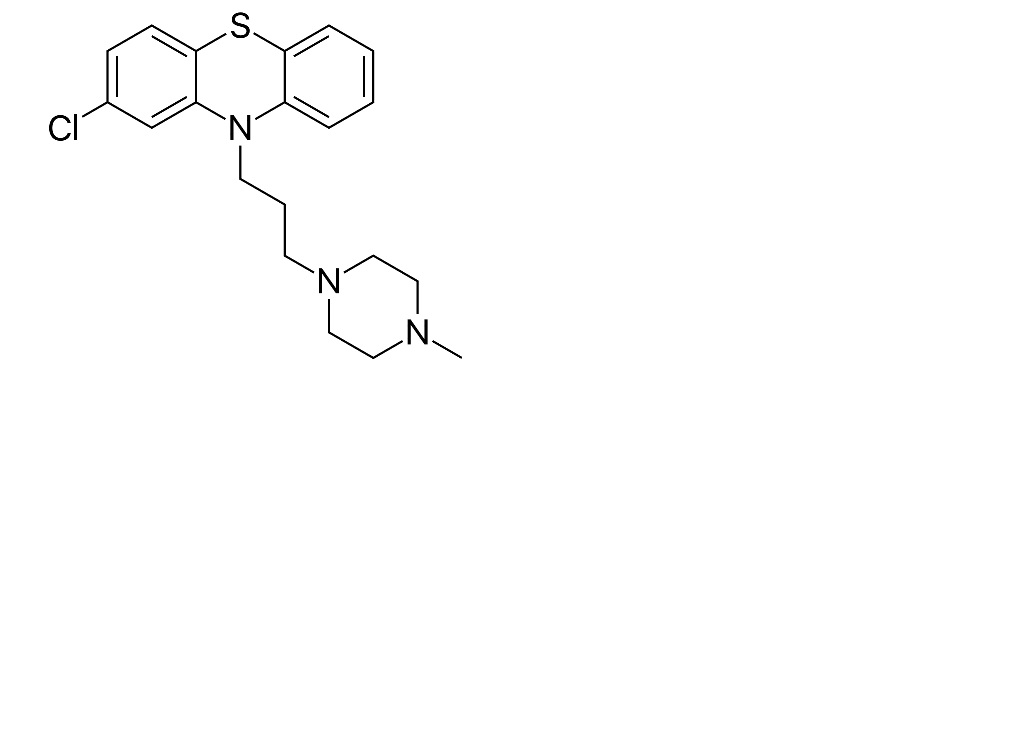
   Cheminė sandara  

Lašai į nosį
Mišinių stabilumas   Lašai į nosį   Mišinių stabilumas : Prochlorperazine edysilate     
Nėra duomenų

  Mentions Légales