Letztes “update” :
27/01/2026
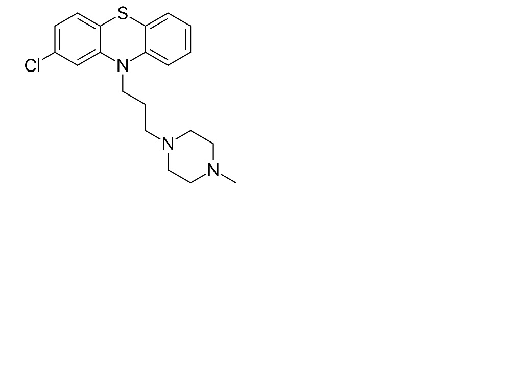
Antiemetikum   Prochlorperazine edysilate  
Nasentropfen
Injektion
Stabilität von pharmazeutischen Präparaten Gemengestabilität Stabilitätbeeinflussende Faktoren Kompatibilitäten Literaturverzeichnis pdf
   Chemische Struktur  

Nasentropfen
Gemengestabilität   Nasentropfen   Gemengestabilität : Prochlorperazine edysilate     
Keine Daten

  Mentions Légales