آخر تحديث :
27/01/2026
مضاد للقىء   Prochlorperazine edysilate  
قطرات الأنف
حقن
استقرار المستحضرات الصيدلانية استقرار مخاليط العوامل التي تؤثر على الاستقرار التوافق مراجع pdf
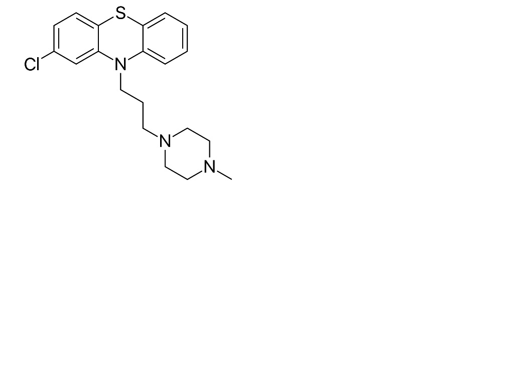
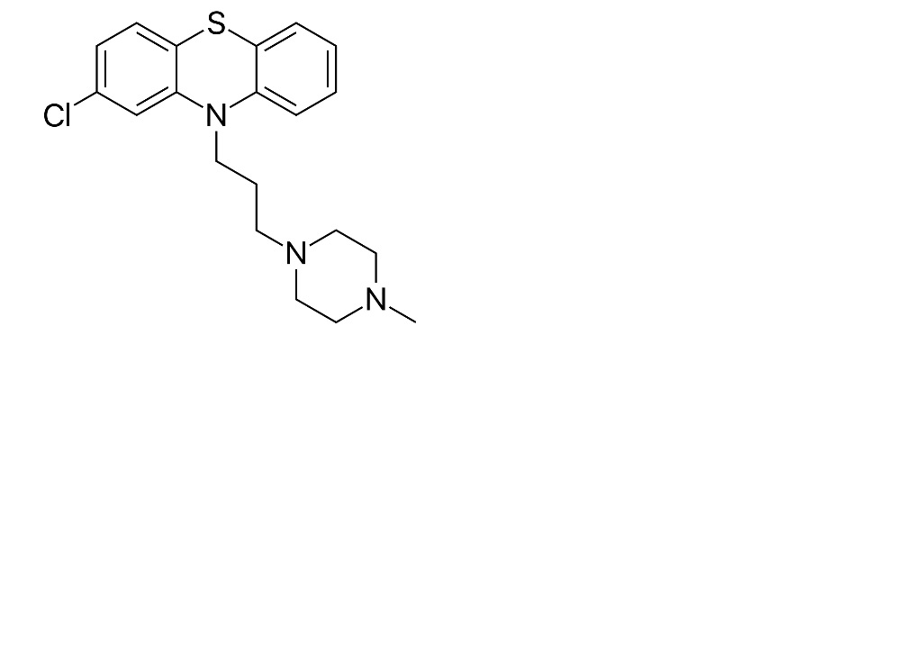
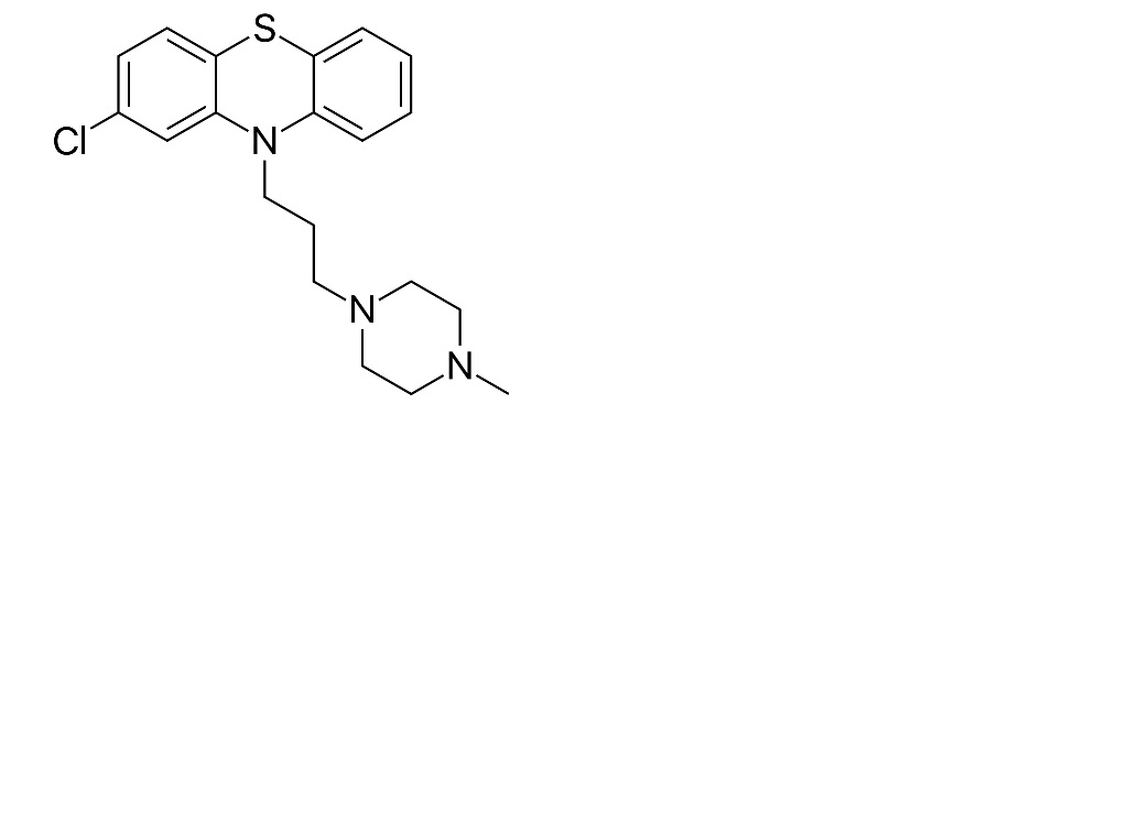
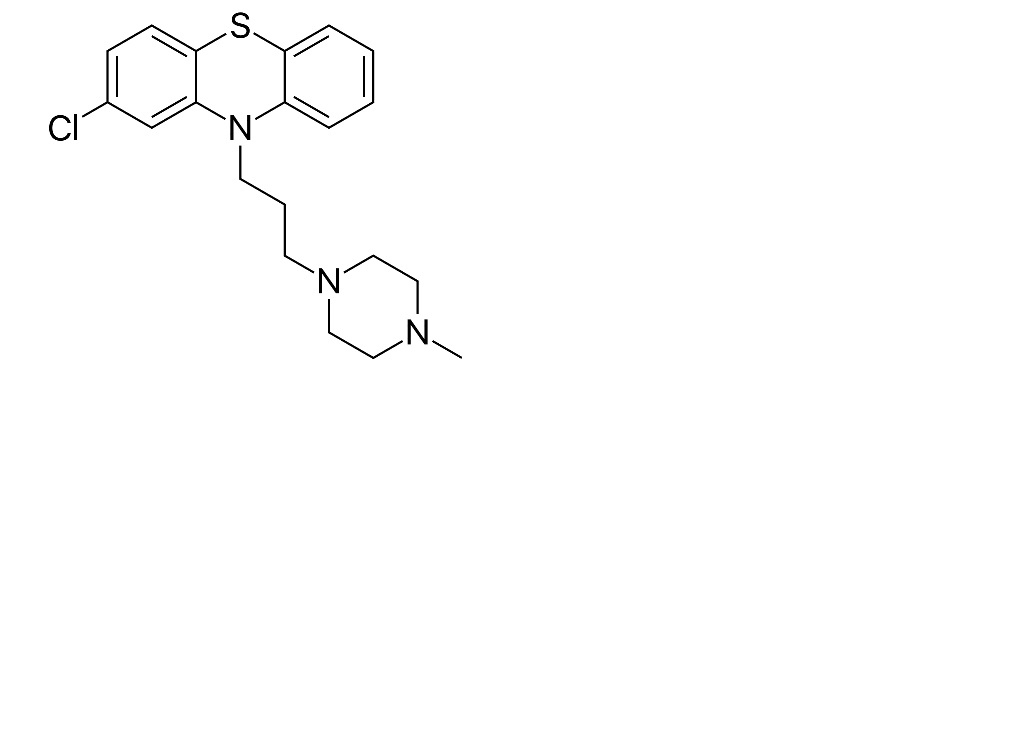
   التركيب الكيميائي  

قطرات الأنف
استقرار مخاليط   قطرات الأنف   استقرار مخاليط : Prochlorperazine edysilate     
لا توجد بيانات

  Mentions Légales