Последно актуализиране :
27/01/2026
Антиеметик   Prochlorperazine edysilate  
Капки за нос
Инжекция/Инжекционен
Стабилност на лекарствени препарати Стабилност на смеси Фактори, повлияващи стабилността Съвместимост Библиография Pdf
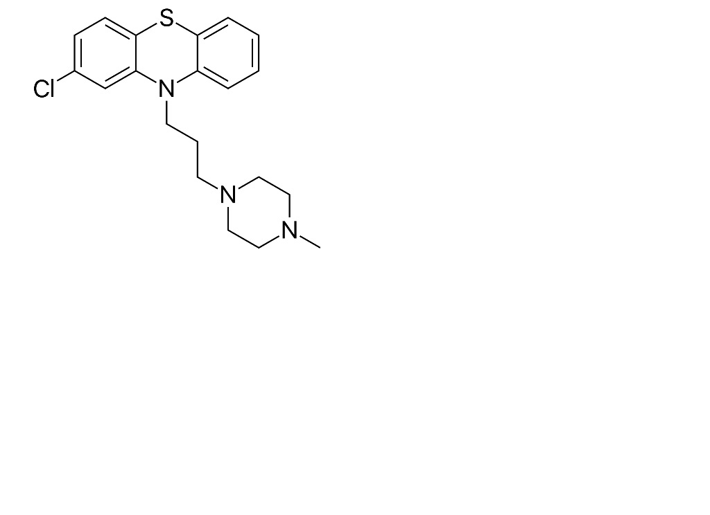
   Химична структура  

Капки за нос
Стабилност на смеси   Капки за нос   Стабилност на смеси : Prochlorperazine edysilate     
Няма данни

  Mentions Légales