Poslední aktualizace :
27/01/2026
Antiemetikum   Prochlorperazine edysilate  
nosní kapky
injekce
Stabilita farmaceutických přípravků Stabilita směsí Faktory ovlivňující stabilitu Kompatibilita Odkazy pdf
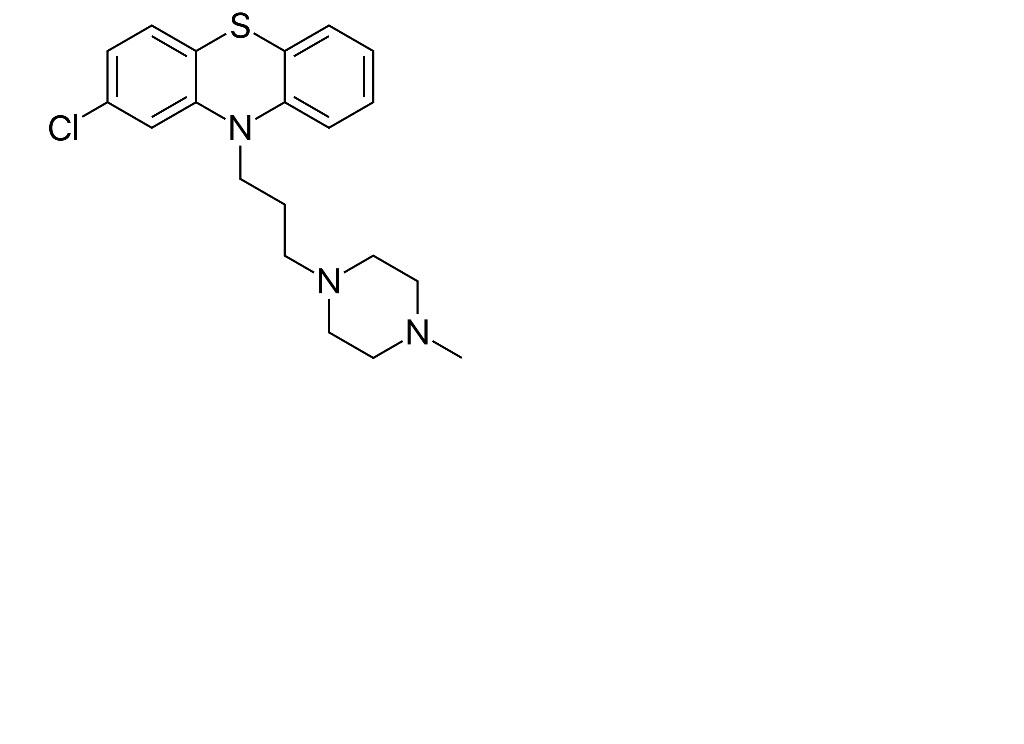
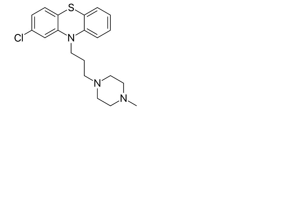
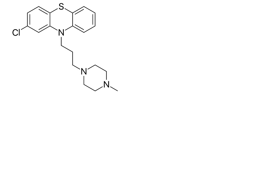
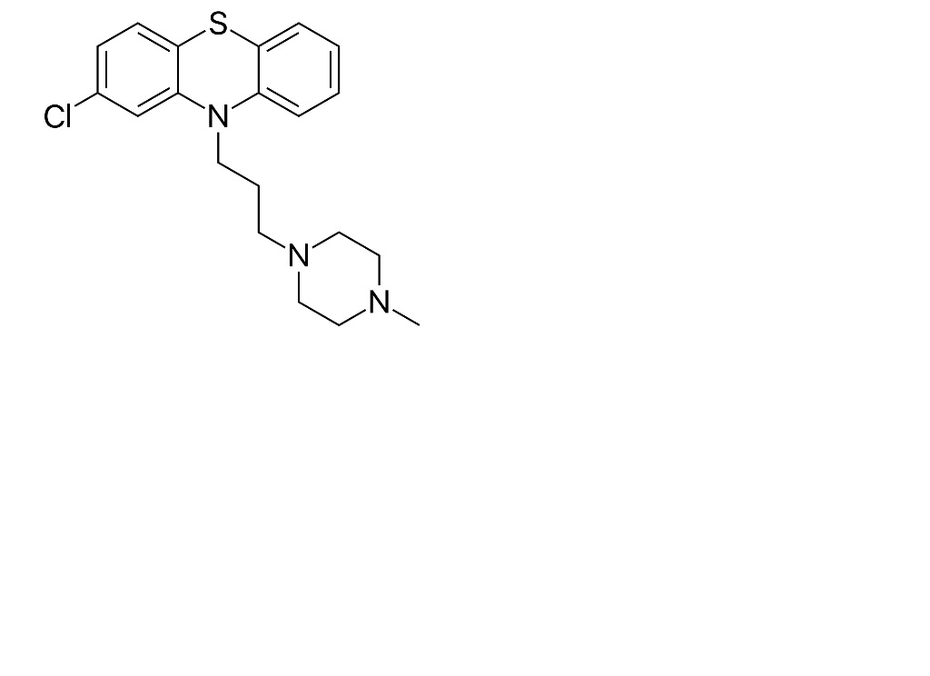
   Chemický vzorec  

nosní kapky
Stabilita směsí   nosní kapky   Stabilita směsí : Prochlorperazine edysilate     
žádná data

  Mentions Légales