Pēdējā atjaunošana :
27/01/2026
Pretvemšanas līdzeklis   Prochlorperazine edysilate  
Deguna pilieni
Injekcija
Stabilitāte farmaceitisko preparātu Maisījuma stabilitāte Stabilitāti ietekmējoši faktori Saderība Literatūras saraksts pdf
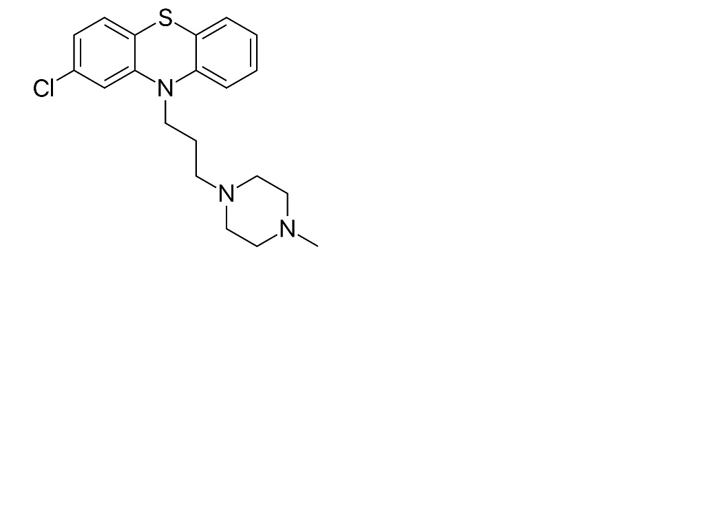
   Ķīmiskā uzbūve   

Deguna pilieni
Maisījuma stabilitāte   Deguna pilieni   Maisījuma stabilitāte : Prochlorperazine edysilate     
Nav datu

  Mentions Légales