Senaste uppdateringen :
27/01/2026
Antiinflammatoriskt medel   Ketoprofene  
Salvor
injektion Oral lösning Stolpiller
Stabilitet av läkemedel Stabilitet i blandningar Faktorer som påverkar stabiliteten Kompatibilitet Hänvisningar pdf
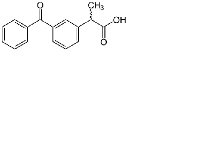
   Molekylstruktur  

Salvor
Stabilitet av läkemedel   Salvor   Stabilitet av läkemedel : Ketoprofene     
Ingen uppgift

  Mentions Légales