Последно актуализиране :
27/01/2026
Противовъзпалително средство   Ketoprofene  
Унгвент/Унгвенти
Инжекция/Инжекционен Орален разтвор Супозитория
Стабилност на лекарствени препарати Стабилност на смеси Фактори, повлияващи стабилността Съвместимост Библиография Pdf
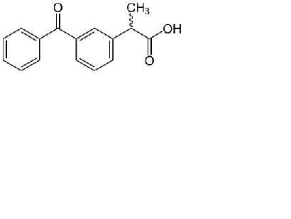
   Химична структура  

Унгвент/Унгвенти
Стабилност на лекарствени препарати   Унгвент/Унгвенти   Стабилност на лекарствени препарати : Ketoprofene     
Няма данни

  Mentions Légales