Ostatnia aktualizacja :
27/01/2026
Lek przeciwzapalny   Ketoprofene  
Maści
Czopek Injekcje Roztwór doustny
Stabilność preparatów farmaceutycznych Trwałość w mieszaninie Czynnik wpływający na trwałość Zgodność Bibliografia pdf
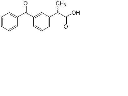
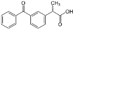
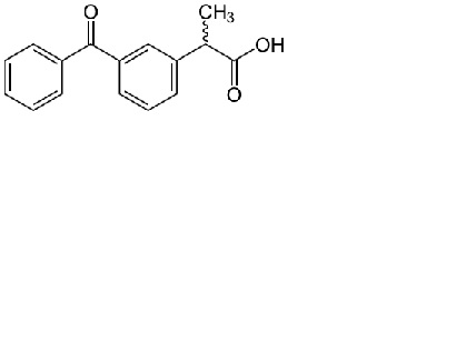
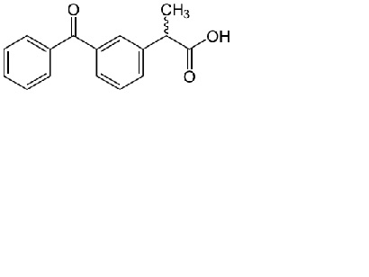
   Struktura chemiczna  

Maści
Stabilność preparatów farmaceutycznych   Maści   Stabilność preparatów farmaceutycznych : Ketoprofene     
Brak danych

  Mentions Légales