viimane versioon :
27/04/2026
Põletikuvastane ravim   Ketoprofene  
salv
ravimküünal Süsteravim suukaudne lahus
Stabiilsust ravimpreparaadid Stabiilsust mõjutavad tegurid stabiilsust mõjutavad faktorid Sobimatus Viited pdf
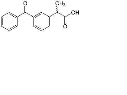
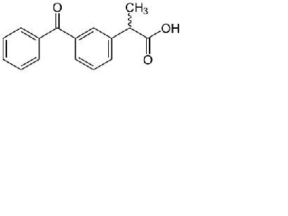
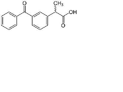
   keemiline struktuur  

salv
Stabiilsust ravimpreparaadid   salv   Stabiilsust ravimpreparaadid : Ketoprofene     
andmed puuduvad

  Mentions Légales