Última actualización :
27/01/2026
Antiinflamatorio   Ketoprofene  
Preparaciones tópicas
Inyectables Solución Oral Supositorio
La estabilidad de las preparaciones farmacéuticas Estabilidad en mezcla Factores que influyen sobre la estabilidad Compatibilidades Bibliografía pdf
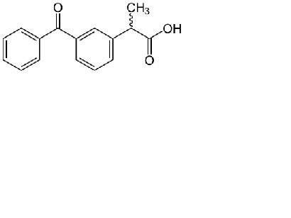
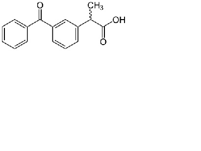
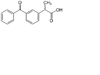
   Estructura química  

Preparaciones tópicas
La estabilidad de las preparaciones farmacéuticas   Preparaciones tópicas   La estabilidad de las preparaciones farmacéuticas : Ketoprofene     
Ausencia de datos

  Mentions Légales