Ultimo aggiornamento :
27/01/2026
Antinfiammatorio   Ketoprofene  
Unguenti
Iniezione Soluzione orale supposta
Stabilità dei preparati farmaceutici Stabilità in miscela Fattori che influenzano la stabilità Compatibilità Bibliografia pdf
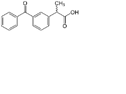
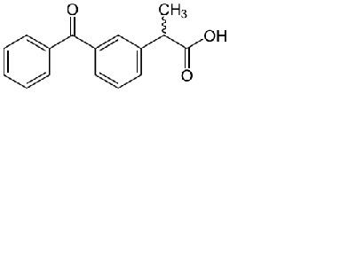
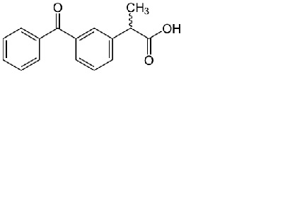
   Struttura chimica  

Unguenti
Stabilità dei preparati farmaceutici   Unguenti   Stabilità dei preparati farmaceutici : Ketoprofene     
Assenza di dati

  Mentions Légales