Poslední aktualizace :
27/01/2026
Antiflogistikum   Ketoprofene  
Masti
čípky injekce Perorální roztok
Stabilita farmaceutických přípravků Stabilita směsí Faktory ovlivňující stabilitu Kompatibilita Odkazy pdf
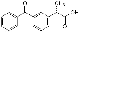
   Chemický vzorec  

Masti
Stabilita farmaceutických přípravků   Masti   Stabilita farmaceutických přípravků : Ketoprofene     
žádná data

  Mentions Légales