Ultimele actualizari :
27/04/2026
Antiinflamator   Ketoprofene  
Unguente
Injectabil Soluţie orală Supozitoare
Stabilitatea preparatelor farmaceutice Stabilitatea in amestec Factorii care influenteaza stabilitatea Compatibilitate Bibliografie pdf
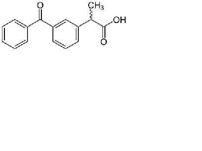
   Formula chimica  

Unguente
Stabilitatea preparatelor farmaceutice   Unguente   Stabilitatea preparatelor farmaceutice : Ketoprofene     
Absenta de date

  Mentions Légales