Τελευταία ενημέρωση :
18/03/2026
Αντιφλεγμονώδες   Ketoprofene  
Αλοιφές
Ενέσιμο Πόσιμο διάλυμα Υπόθετο
Σταθερότητα και συμβατότητα των φαρμάκων Σταθερότητα σε μίγματα Παράγοντας που επηρεάζει τη σταθερότητα Συμβατότητες Βιβλιογραφία pdf
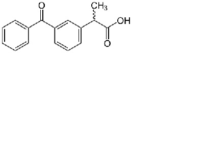
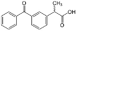
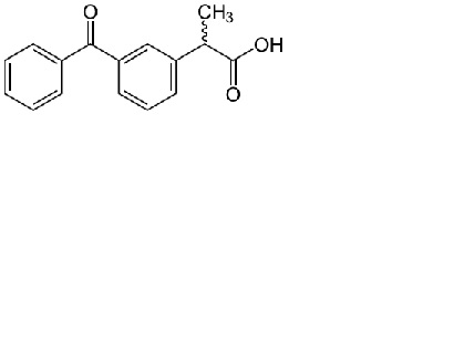
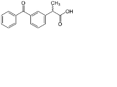
   χημική δομή  

Αλοιφές
Σταθερότητα και συμβατότητα των φαρμάκων   Αλοιφές   Σταθερότητα και συμβατότητα των φαρμάκων : Ketoprofene     
Δεν υπάρχουν πληροφορίες

  Mentions Légales