Última actualização :
27/04/2026
Antiinflamatorio   Ketoprofene  
Pomadas
injetável Solução Oral supositório
Estabilidade de preparações farmacêuticas Estabilidade em misturas Factores que afectam a sua estabilidade Compatibilidade Bibliografía pdf
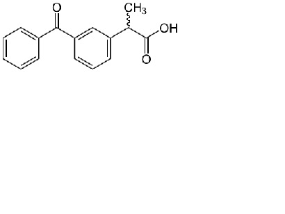
   estrutura química  

Pomadas
Estabilidade de preparações farmacêuticas   Pomadas   Estabilidade de preparações farmacêuticas : Ketoprofene     
Ausência de dados

  Mentions Légales