Son güncelleme :
27/04/2026
Antifungal   Amphotericin B liposomale  
Göz damlası
Enjeksiyon
Farmasötik preparatlar Kararlılığı Karışımlardaki stabilitesi Stabiliteyi etkileyen faktörler Uyumluluk Kaynaklar pdf
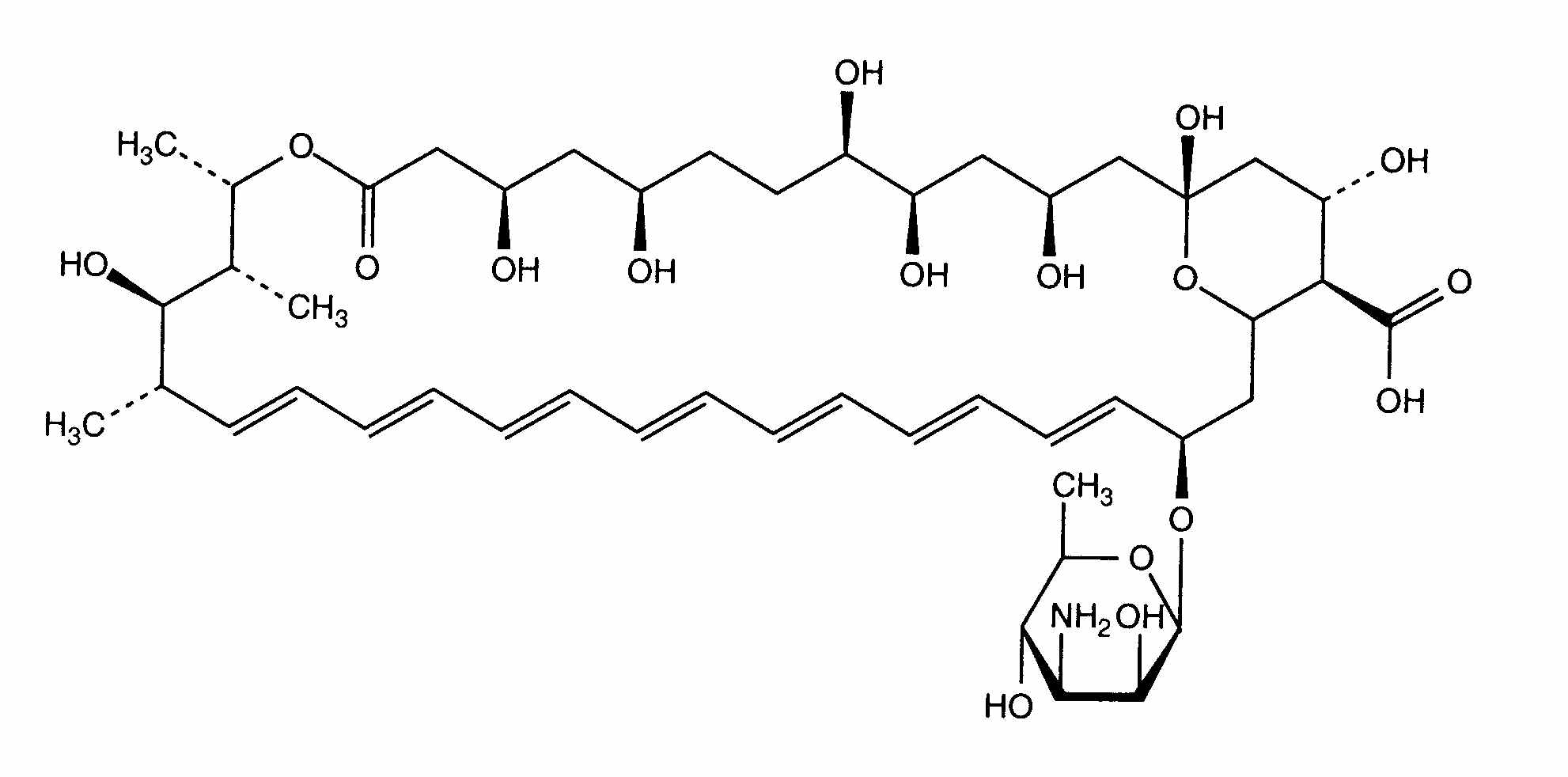
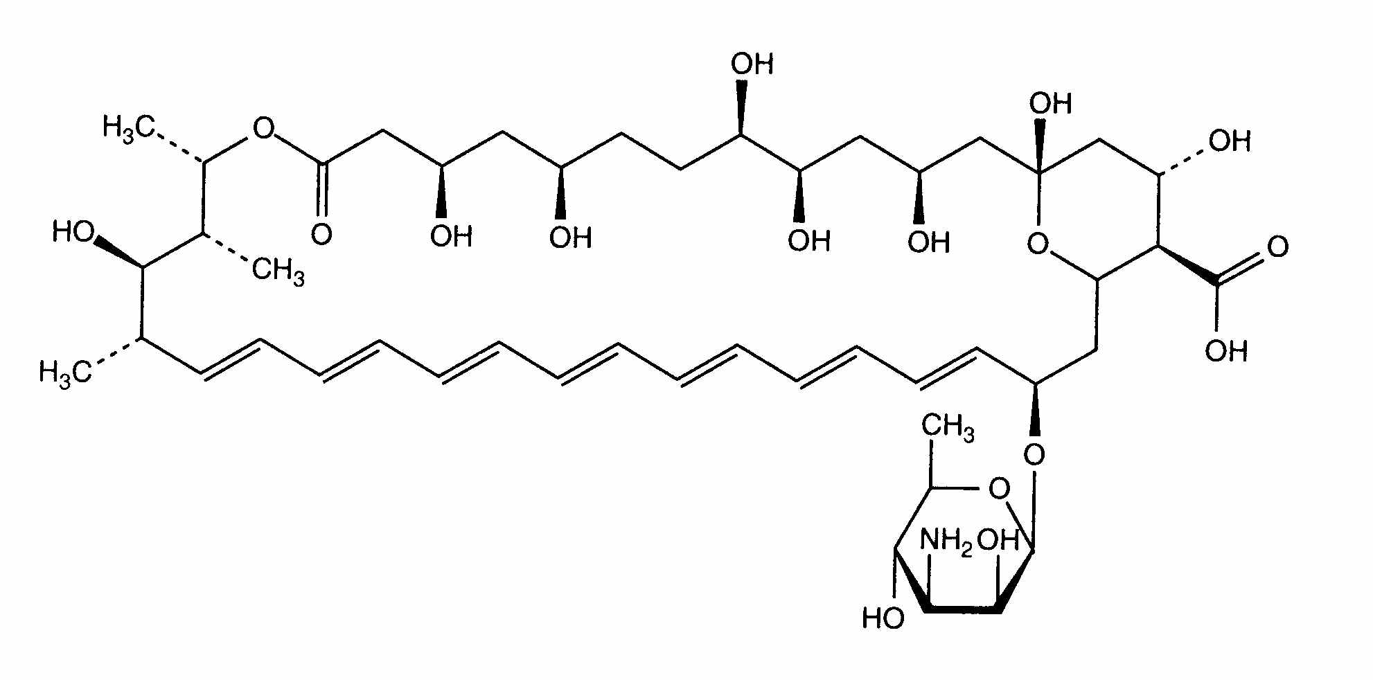
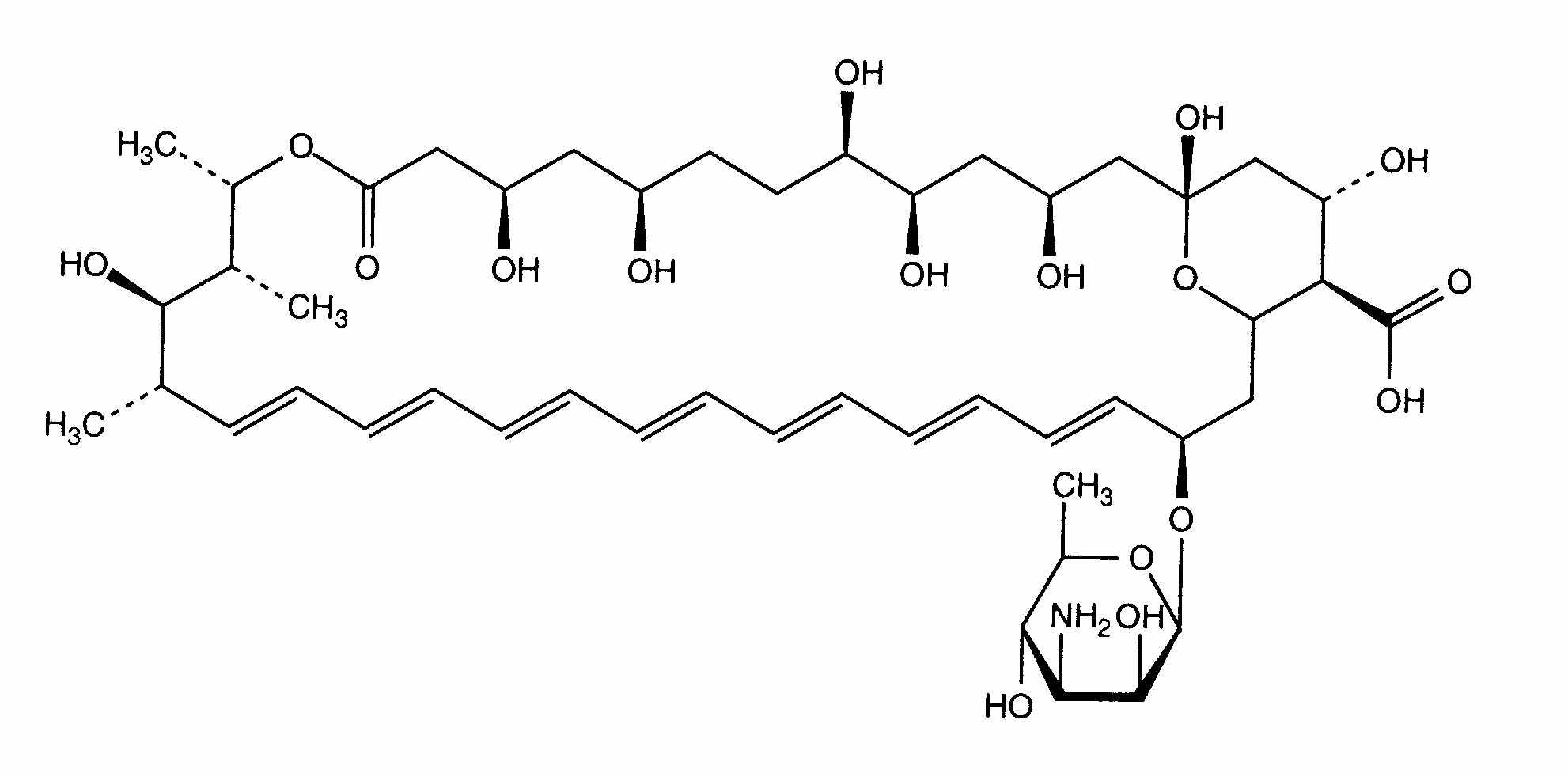
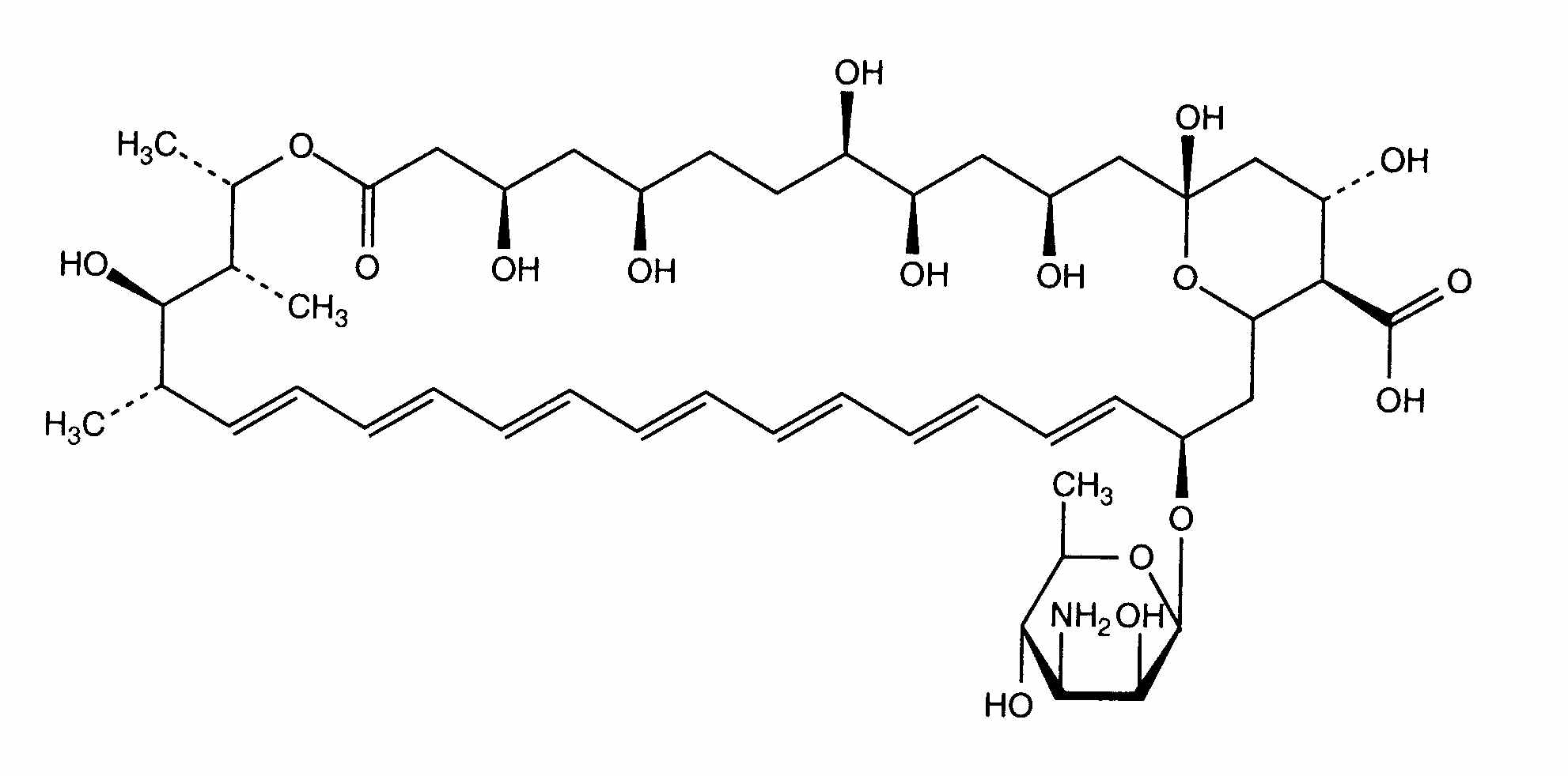
Lipozom   Kimyasal yapı   

Göz damlası

Stabiliteyi etkileyen faktörler    Göz damlası   Stabiliteyi etkileyen faktörler : Amphotericin B liposomale        
veri yok

  Mentions Légales