Viimeisin päivitys :
27/04/2026
Sienilääkkeet   Amphotericin B liposomale  
Silmätipat
Injektioneste
Vakaus lääkevalmisteen Stabilius seoksissa Tekijät, jotka vaikuttavat stabiliuteen Yhteensopivuus Viitteet pdf
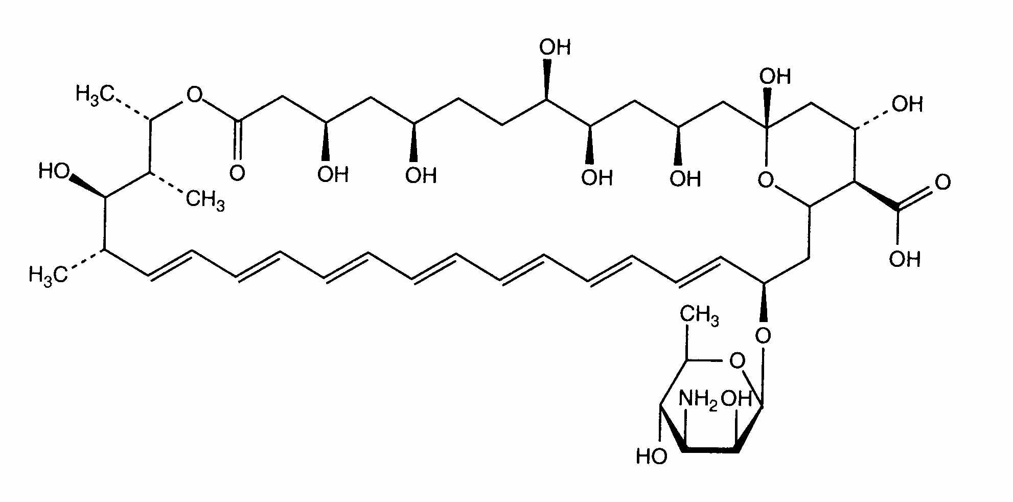
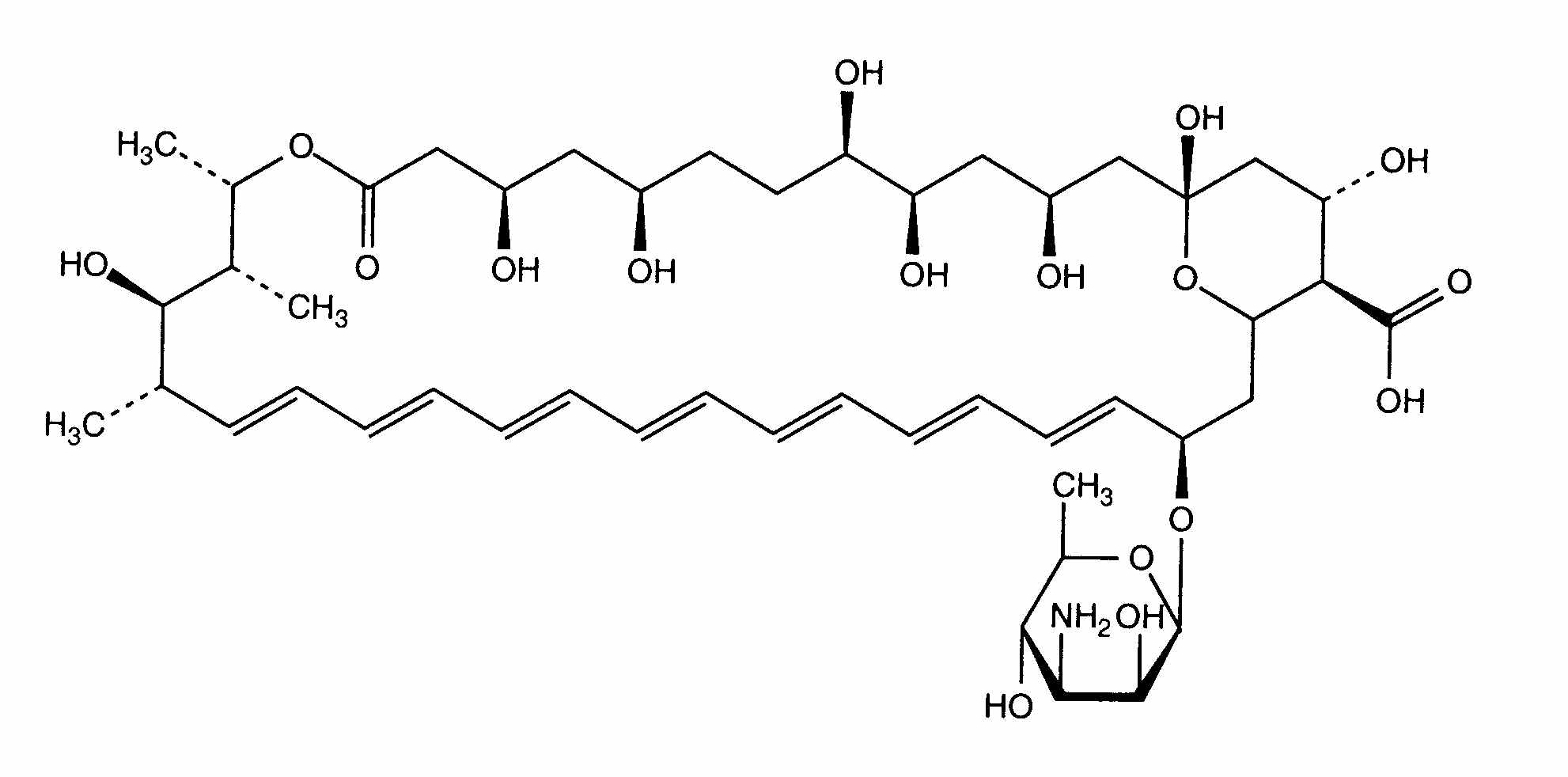
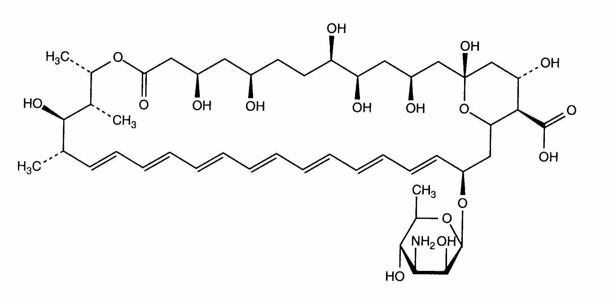
Liposomi   Kemiallinen rakenne  

Silmätipat

Tekijät, jotka vaikuttavat stabiliuteen   Silmätipat   Tekijät, jotka vaikuttavat stabiliuteen : Amphotericin B liposomale        
ei tietoa

  Mentions Légales