Última actualização :
27/04/2026
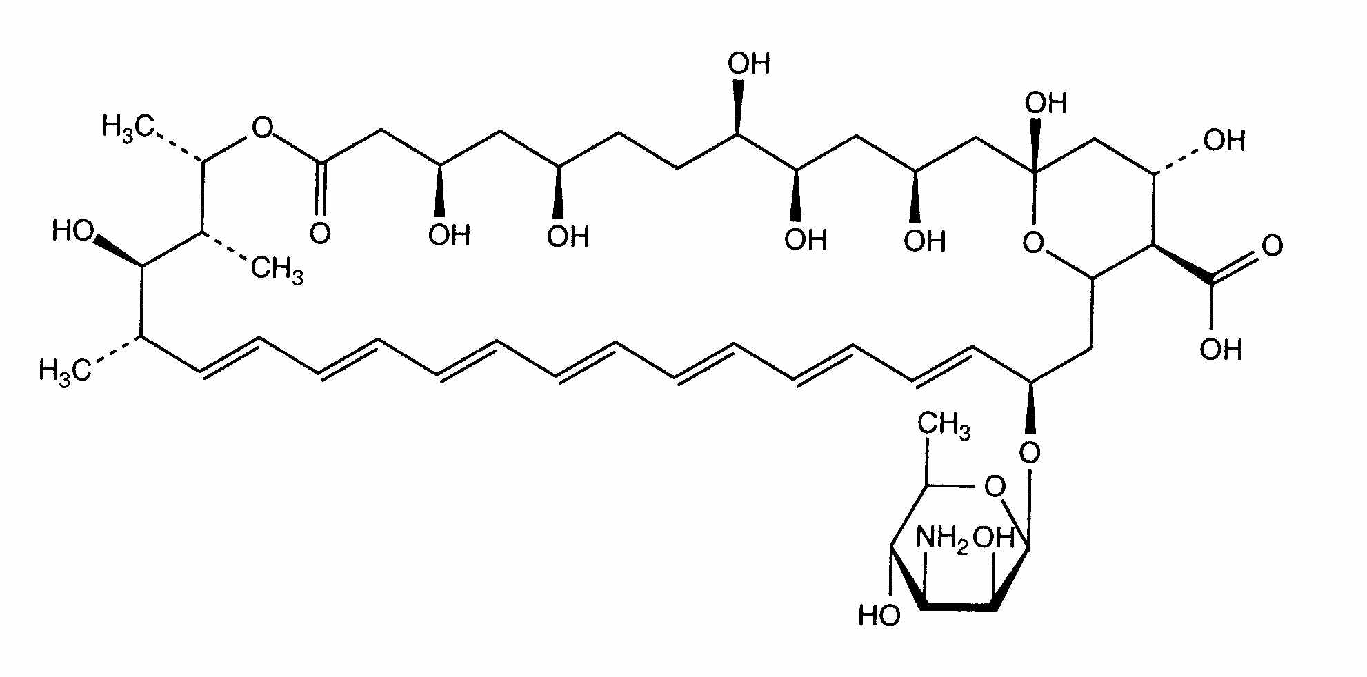
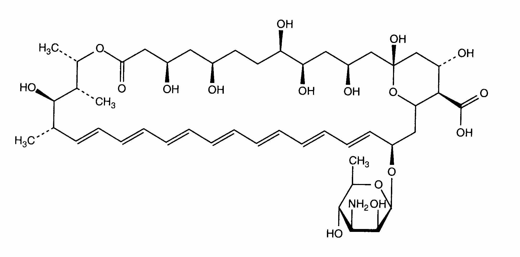
Antifúngico   Amphotericin B liposomale  
solução oftálmica
injetável
Estabilidade de preparações farmacêuticas Estabilidade em misturas Factores que afectam a sua estabilidade Compatibilidade Bibliografía pdf
Liposoma   estrutura química  

solução oftálmica

Factores que afectam a sua estabilidade   solução oftálmica   Factores que afectam a sua estabilidade : Amphotericin B liposomale        
Ausência de dados

  Mentions Légales