Poslední aktualizace :
27/04/2026
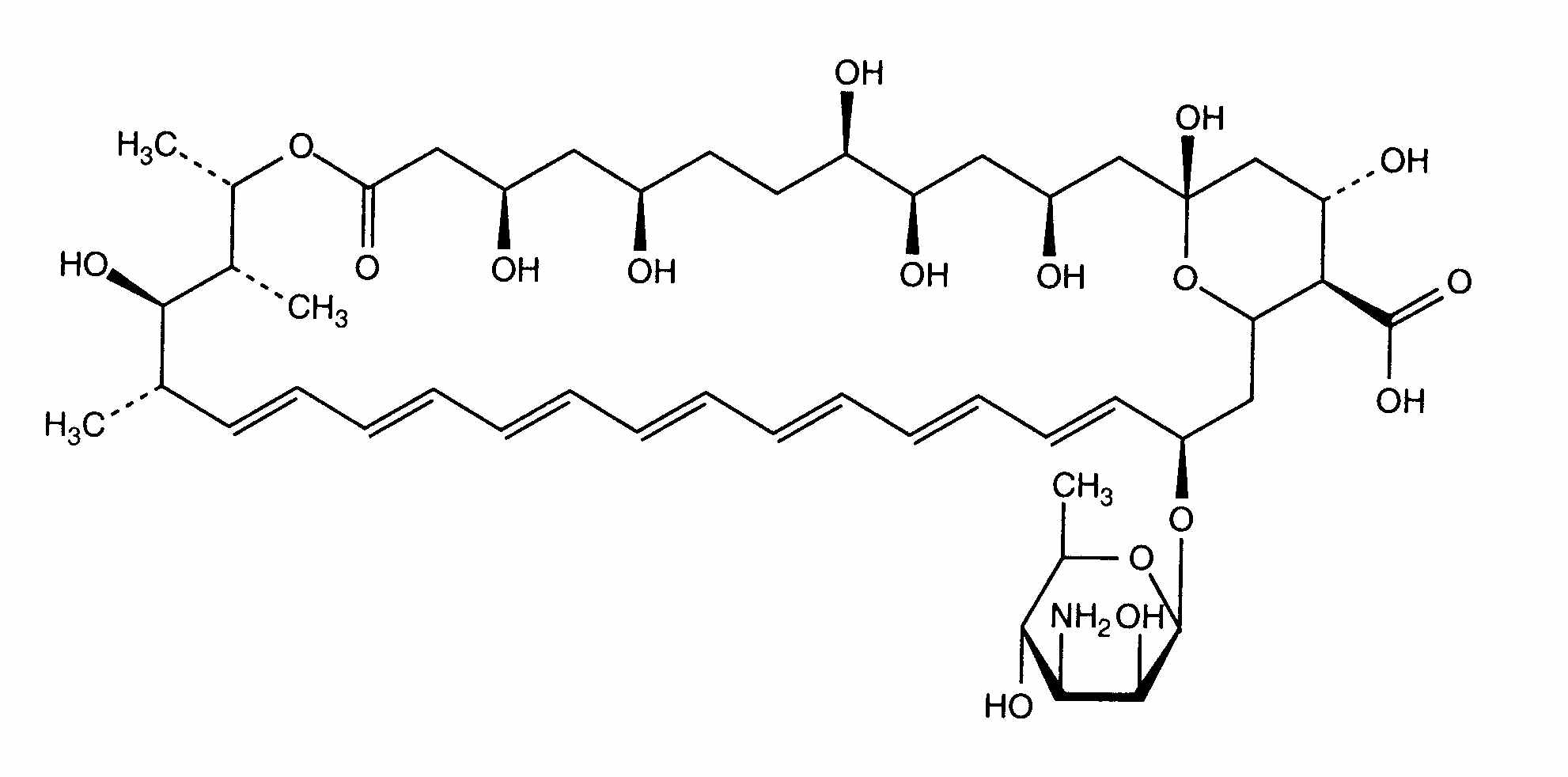
Protiplísňový přípravek   Amphotericin B liposomale  
Humbuk
injekce
Stabilita farmaceutických přípravků Stabilita směsí Faktory ovlivňující stabilitu Kompatibilita Odkazy pdf
Lipozom   Chemický vzorec  

Humbuk

Faktory ovlivňující stabilitu   Humbuk   Faktory ovlivňující stabilitu : Amphotericin B liposomale        
žádná data

  Mentions Légales