Ostatnia aktualizacja :
27/04/2026
Lek przeciwgrzybiczny   Amphotericin B liposomale  
Krople oczne
Injekcje
Stabilność preparatów farmaceutycznych Trwałość w mieszaninie Czynnik wpływający na trwałość Zgodność Bibliografia pdf
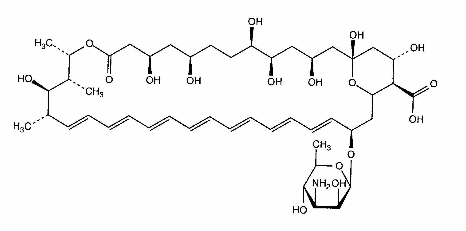
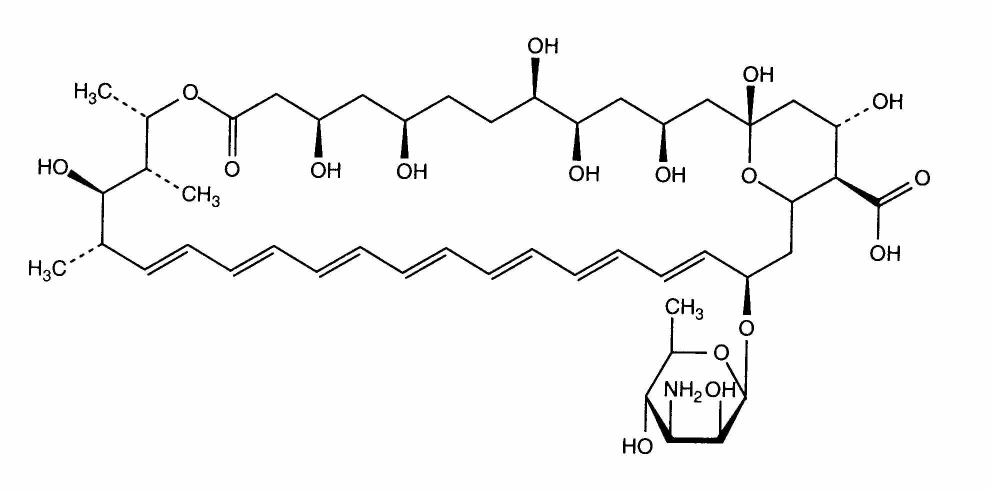
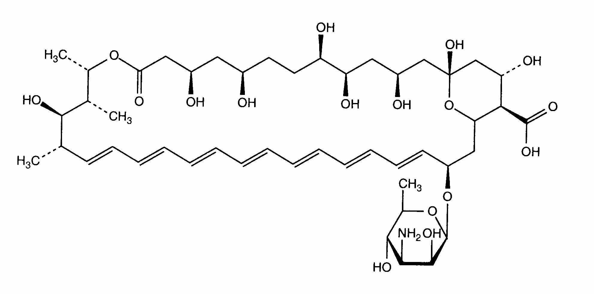
Liposomy   Struktura chemiczna  

Krople oczne

Czynnik wpływający na trwałość   Krople oczne   Czynnik wpływający na trwałość : Amphotericin B liposomale        
Brak danych

  Mentions Légales