Τελευταία ενημέρωση :
27/04/2026
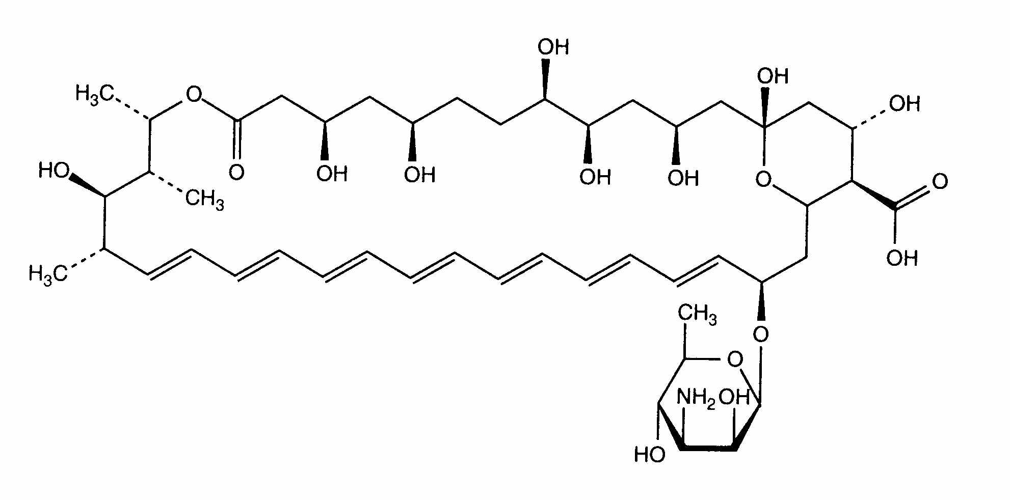
Αντιμυκητικό   Amphotericin B liposomale  
Οφθαλμικές σταγόνες
Ενέσιμο
Σταθερότητα και συμβατότητα των φαρμάκων Σταθερότητα σε μίγματα Παράγοντας που επηρεάζει τη σταθερότητα Συμβατότητες Βιβλιογραφία pdf
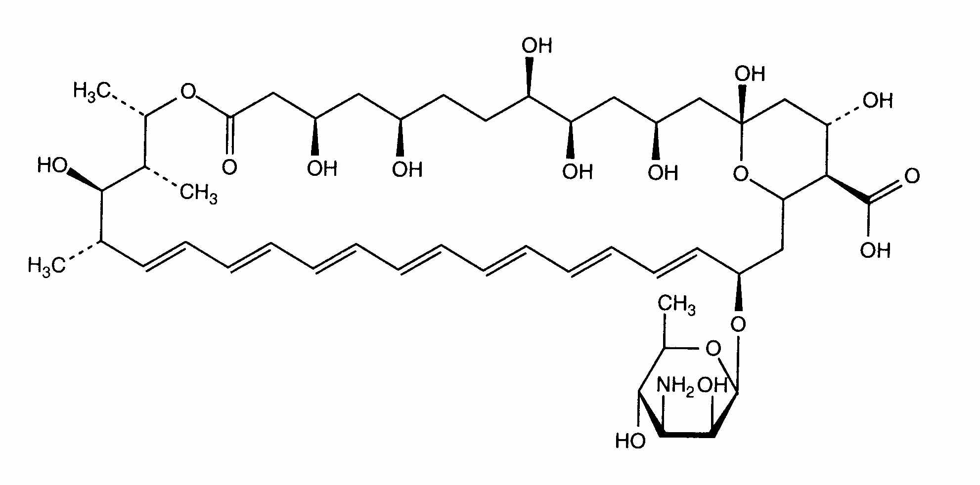
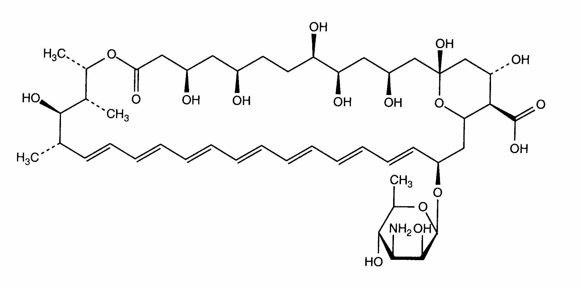
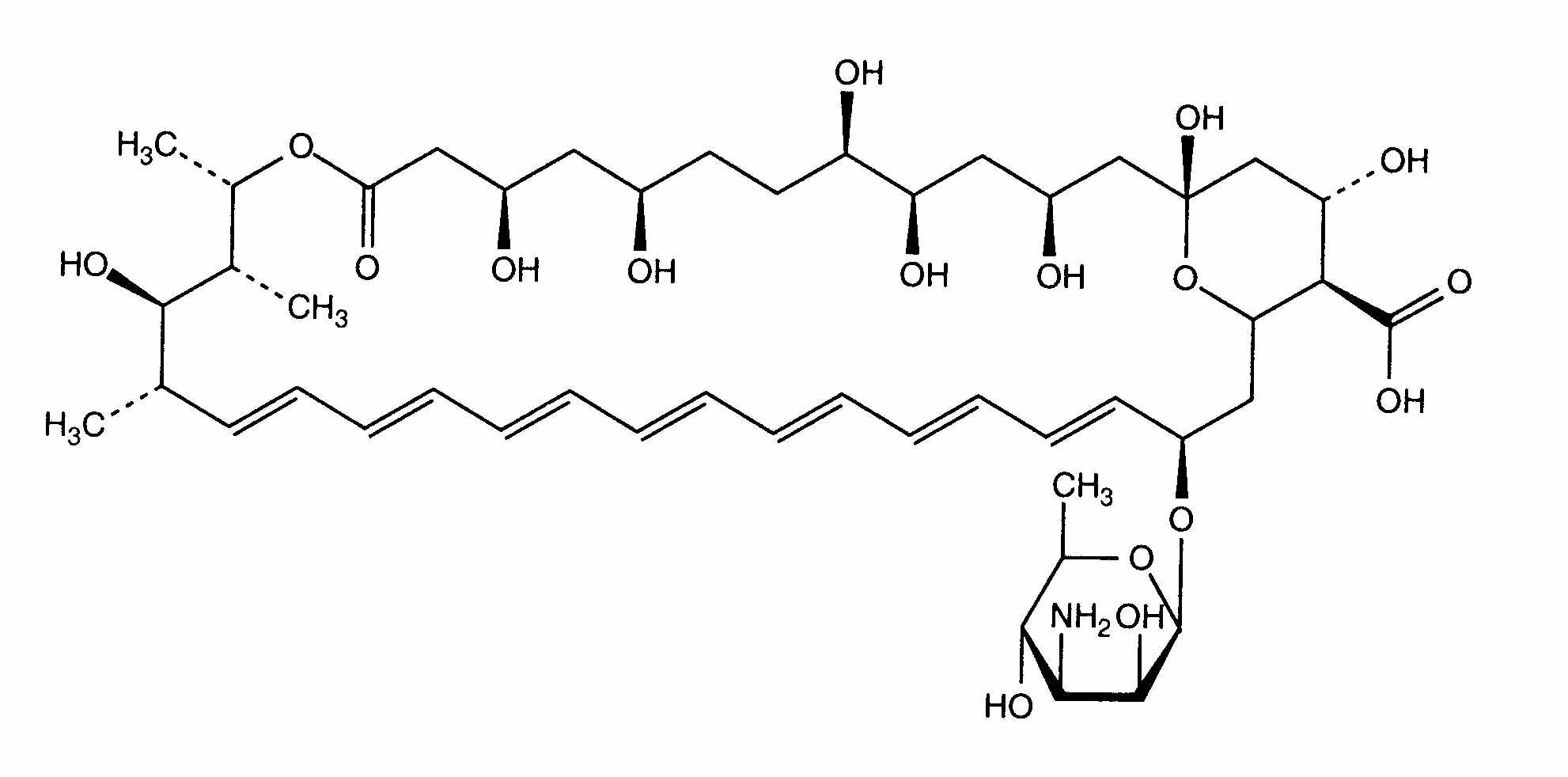
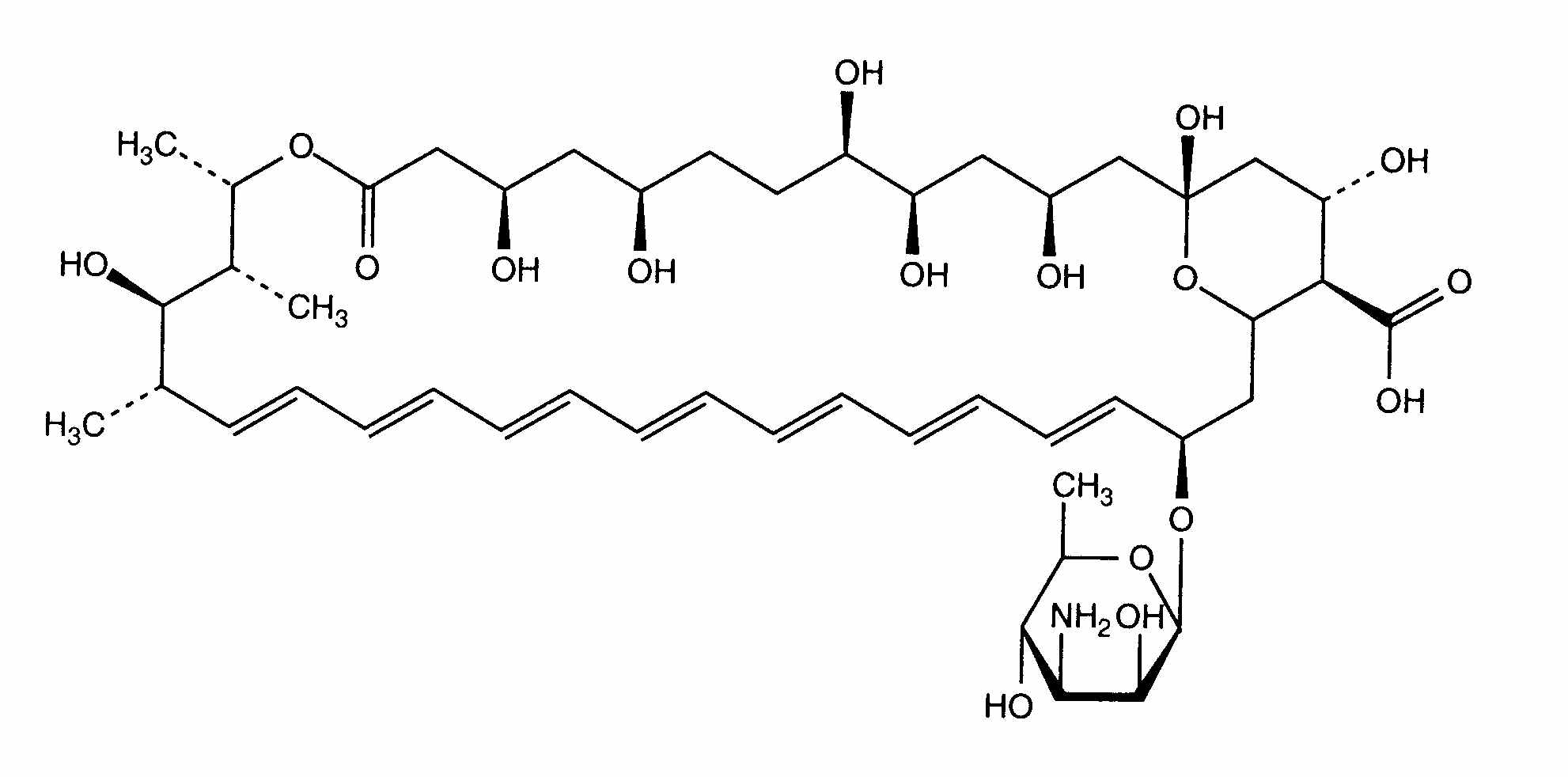
Λιπόσωμα   χημική δομή  

Οφθαλμικές σταγόνες

Παράγοντας που επηρεάζει τη σταθερότητα   Οφθαλμικές σταγόνες   Παράγοντας που επηρεάζει τη σταθερότητα : Amphotericin B liposomale        
Δεν υπάρχουν πληροφορίες

  Mentions Légales